Menjawab Soal Dengan MUdah

Daerah Penyelesaian Dari Sistem Pertidaksamaan 3x2y 36


Diketahui Sistem Pertidaksamaan 3x 2y 12 X 4y 14 X 0 Dan Y 0 Nilai Maksimum Z 5x Brainly Co Id
brainly.co.id

Daerah Penyelesaian Dari Sistem Pertidaksamaan 3x 2y 36 X 2y 20 X 0 Dan Y 0 Pada Brainly Co Id
brainly.co.id

Soal Ujian Aaji Contoh Soal Pertidaksamaan Linear Dua Variabel Kelas 11 Brainly
soalujianaaji.blogspot.com

Cara Menentukan Nilai Maksimum Daerah Penyelesaian Sistem Pertidaksamaan Linear Dua Variabel 2 Youtube
www.youtube.com

Program Linier Sistem Persamaan Linier Pertidaksamaan Linier Ppt Download
slideplayer.info

Kelas Xii Sma Matematika Geri Ahmadi
www.slideshare.net

Contoh Soal Dan Pembahasan Tentang Program Linear Ajar Hitung
www.ajarhitung.com

Kumpulan Soal Soal Pilihan Matematika Sma Lkp
www.slideshare.net

Soal Matematika Program Linier Docx Document
fdokumen.com

Contoh Soal Program Linear Pilihan Ganda Pembahasan
soalkimia.com

Diketahui Sistem Pertidaksamaan Linear Dua Variabel Sebagai Berikut 2x 3y 36 4x Y 32 X 0 Y 0 Mas Dayat
www.masdayat.net

Cara Menentukan Sistem Pertidaksamaan Linear Dari Daerah Penyelesaian 3 Youtube
m.youtube.com

Pdf Modul Program Linier Eti Rusmiati Academia Edu
www.academia.edu

Sistem Pertidaksamaan Linier Dua Variabel Lengkap Belajar Tanpa Batas
webmatika.com

Jika Diberikan Sistem Pertidaksamaan X 2y 100 2x Y 140 4x 3y 240 X 0 Y 0 Nilai Mas Dayat
www.masdayat.net

Bab 12 Program Linear
id.scribd.com

Contoh Soal Dan Pembahasan Tentang Program Linear Ajar Hitung
www.ajarhitung.com

Pertidaksamaan Linear Dua Variabel Sistem Daerah Penyelesaian Soal
www.yuksinau.id

Contoh Soal Dan Pembahasan Tentang Program Linear Ajar Hitung
www.ajarhitung.com

Soal Program Linear
id.scribd.com

17 Soal Soal Program Linear Program Linear Ebtanas2000 1 Himpunan Penyelesaian Sistem Pertidaksamaan Penyelesaian Suatu Sistem Pertidaksamaan Linier 3 5 5 Pdf Document
fdokumen.com

Daerah Yang Diarsir Pada Grafik Berikut Merupakan Himpunan Penyelesaian Dari Sistem Pertidaksamaan Brainly Co Id
brainly.co.id

Bab I Pendahuluan A Deskripsi C Grafik Himpunan Penyelesaian Sistem Pertidaksamaan Linear Dengan Dua Variabel Sistem Pertidaksamaan Linear Dua Variabel Adalah Pdf Document
fdokumen.com

Maretong Soal Dan Pembahasan Program Linear Uji Titik Pojok
www.maretong.com

A 2x Y 8 X 2y 12 3 Y B 2x Y 8 X 2y 12 3 Y C 2x Y 8 X 2y 12 3 Y D 2x Y 8 X 2y 12 Course Hero
www.coursehero.com

Calameo Matematika Kelas X
www.calameo.com

Progam Linear Site Title
rizkyananta260803.wordpress.com

Soal Ujian Aaji Contoh Soal Pertidaksamaan Linear Dua Variabel Kelas 11 Brainly
soalujianaaji.blogspot.com

Program Linier 1700
dokumen.tips

Program Linier 1700
dokumen.tips

Gambarlah Daerah Penyelesaian Sistem Pertidaksamaan Linear 2x Y 8 X 2y 12 Y 3 Brainly Co Id
brainly.co.id

Mm Quiz Proglin
pt.scribd.com

Materi Matematika Program Linear Program Linear
muhammadfachridarmawan.blogspot.com

Program Linier 1700
id.scribd.com

Pdf Soal Soal Program Linear Ujian Sma Smk Syarif Rosidy Academia Edu
www.academia.edu

Nilai Maksimum Fungsi Objektif Z 3x 4y Yang Memenuhi Sistem Pertidaksamaan X 2y 8 Brainly Co Id
brainly.co.id

Program Linear
www.slideshare.net

Daerah Penyelesaian Dari Sistem Pertidaksamaan 3x 2y Lt 36 X 2y Gt 20 X Gt 0 Dan Y Gt 0 Brainly Co Id
brainly.co.id

Himpunan Penyelesaian Dari Sin 3x Sin 36 Untuk 0 X 360 Mas Dayat
www.masdayat.net

Program Linear
id.scribd.com

Sistem Pertidaksamaan Linear Dua Variabel
www.plengdut.com

17 Soal Soal Program Linear Program Linear Ebtanas2000 1 Himpunan Penyelesaian Sistem Pertidaksamaan Penyelesaian Suatu Sistem Pertidaksamaan Linier 3 5 5 Pdf Document
fdokumen.com

Soal Mtk Bismen Semua Sk 4
www.slideshare.net

09 Program Linier
id.scribd.com

Diketahui Sistem Pertidaksamaan Linier 3x 2y 12 X Y 5 X 0nilai Maksimum Fungsi Brainly Co Id
brainly.co.id

Modul Matematika Sma Ipa Kelas 11 Pdf Download Gratis
docplayer.info

Daerah Penyelesaian Dari Sistem Pertidaksamaan 3x 2y Lt 36 X 2y Gt 20 X Gt 0 Y Gt 0 Brainly Co Id
brainly.co.id

Pembahasan Soal Un Sma 2017 Matematika Ips No 8 Membuat Model Matematika Youtube
www.youtube.com

Imath Program Linear 2 Nilai Optimum Pada Permasalahan Program Linear
imathsolution.blogspot.com

Matematika 3 Bahasa
www.slideshare.net

Xpedia Matematika Dasar 1
id.123dok.com

11 K 13 Mat Eng Fix Gajah Pohon
id.scribd.com

Cara Mudah Menentukan Daerah Penyelesaian Sistem Pertidaksamaan Linear Dua Variabel 4 Youtube
www.youtube.com

A Grafik Himpunan Penyelesaian Sistem Pertidaksamaan Linier
www.slideshare.net

Tolong Dijawab Kak Soalnya Buat Besok Brainly Co Id
brainly.co.id

Diketahui Sistem Pertidaksamaan 3x Y 72 X Y 48 X Dan Y 0 Nilai Maksimum Untuk Brainly Co Id
brainly.co.id

Program Linear 2 Nilai Optimum Pada Permasalahan Program Linear Rumah Rumus Pelajaran
rumusnih.blogspot.com

Program Linear
www.slideshare.net

Pusatmat Blogspot Com Tryoutmatpaket2a Docx Docx Document
fdokumen.com

Nilai Maksimum Fungsi Objektif Z 3x 4y Yang Memenuhi Sistem Pertidaksamaan X 2y 8 2x Y 10 X 0 Y 0 Youtube
m.youtube.com

Diketahui Sistem Pertidaksamaan Linear Dua Variabel Sebagai Berikut 3x 4y 36 X Y 10 Mas Dayat
www.masdayat.net

Matematika 3 Bahasa
www.slideshare.net

Sistem Pertidaksamaan Linier Dua Variabel Lengkap Belajar Tanpa Batas
webmatika.com

Ktsp Lembar Kerja Siswa Standar Tsi Z Ll F Atematlk Ptwram Ips Untuksiswa Sma Fl Pdf Free Download
docplayer.info

Maretong Soal Dan Pembahasan Program Linear Uji Titik Pojok
www.maretong.com

Himpunan Penyelesaian Dari Tan 5x 20 3 Untuk 0 X 360 Adalah Mas Dayat
www.masdayat.net

Jack Punya Soal Docx
id.scribd.com

Gambarlah Grafik Daerah Himpunan Penyelesaian Sistem Pertidaksamaan Linear 2x Y Lebih Kecil Dari Brainly Co Id
brainly.co.id

Gambarlah Daerah Himpunan Penyelesaian Sistem Pertidaksamaan Linear Berikut A 4x 3y 2 Brainly Co Id
brainly.co.id

Program Linier Linier 2 06 Nilai Minimum Dari Bentuk 3x 6y Yang Memenuhi Syarat Bahwa 2x 3y
dokumen.tips

Bab V Program Linear Aulia Z
auliaaa611.wordpress.com

17 Soal Soal Program Linear Program Linear Ebtanas2000 1 Himpunan Penyelesaian Sistem Pertidaksamaan Penyelesaian Suatu Sistem Pertidaksamaan Linier 3 5 5 Pdf Document
fdokumen.com

Nilai Optimum Fungsi Sasaran Materi Lengkap Matematika
www.materimatematika.com

Contoh Gambarlah Daerah X Y 0 Jika Daerah Tersebut Dibatasi Untuk Nilai Nilai X 0 Dan Y 0 Maka Diperoleh Gambar Seperti Berikut Pdf Download Gratis
docplayer.info

Bab V Program Linear Aulia Z
auliaaa611.wordpress.com

Sistem Pertidaksamaan Untuk Daerah Himpunan Penyelesaian Dari Gambar Berikut Adalah No 25 Dgn Brainly Co Id
brainly.co.id

Jack Punya Soal Docx
id.scribd.com

Bab 12 Program Linier 35 Soal
id.scribd.com

004
studylibid.com

Daerah Himpunan Penyelesaian Sistem Pertidaksamaan 3x 4y 12 5x 3y 15 X 0 Y 0 Adalah Brainly Co Id
brainly.co.id

Cara Menentukan Daerah Penyelesaian Sistem Pertidaksamaan Linear Dua Variabel 3 Youtube
www.youtube.com

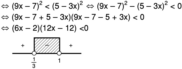
Penyelesaian Dari Pertidaksamaan 9x 7 5 3x Adalah Mas Dayat
www.masdayat.net

17 Soal Soal Program Linear Pdf Download Gratis
docplayer.info

Daerah Yang Diarsir Pada Gambar Dibawah Ini Merupakan Penyelesaian Dari Sistem Pertidaksamaan Brainly Co Id
brainly.co.id

Soal Ujian Aaji Contoh Soal Pertidaksamaan Linear Dua Variabel Kelas 11 Brainly
soalujianaaji.blogspot.com

17 Soal Soal Program Linear
id.scribd.com

Progam Linear Site Title
rizkyananta260803.wordpress.com

Draw Something Research Papers Academia Edu
www.academia.edu

Progam Linear Site Title
rizkyananta260803.wordpress.com

Program Linier Menentukan Daerah Penyelesaian Dari Sistem Pertidaksamaan Linier Youtube
www.youtube.com

Diketahui Sistem Pertidaksamaan Linear 5x 2y 20 4x Y 12 X 0 Y Tentukan Nilai Maksimum Brainly Co Id
brainly.co.id

Langkah Langkah Menentukan Nilai Optimum Program Linear Sma Dunia Matematika
duniamatemtaika.blogspot.com

Penyelesaian Dari Sistem Persamaan Linear 2x 3y 20 Dan 3x 5y 15 Adalah X Dan Y Nilai X 2y Adalah Youtube
m.youtube.com

Contoh Soal Program Linear Pilihan Ganda Pembahasan
soalkimia.com

Gambarlah Daerah Himpunan Penyelesaian Pertidaksamaan 6x 4y 36 Pada Bidang Cartesius X E R Dan Y E R Mas Dayat
www.masdayat.net

Lks Menggambar Daerah Hp Sistem Pertidaksamaan Linier Dua Variabel Interactive Worksheet
www.liveworksheets.com

Soal Grafik Pertidaksamaan
id.scribd.com

Program Linier Menentukan Daerah Penyelesaian Dari Sistem Pertidaksamaan Linier Youtube
www.youtube.com

Kunci Jawaban Soal Mid Matematika Kelas Xi
id.scribd.com

Kelas12 Program Bahasa Mahir Matematika Geri By S Van Selagan Issuu
issuu.com

close