Menjawab Soal Dengan MUdah

Dengan Titik 7


Kunci Jawaban Ayo Kita Berlatih 2 2 Buku Paket Matematika Kelas 8 Youtube
www.youtube.com

Cara Mencari Koordinat Cartesius Titik Sumbu X Dan Sumbu Y
pintarsatu1.blogspot.com

Soal Dan Pembahasan Transformasi Geometr
www.slideshare.net

Belajar Rumus Matematika Kelas 7 8 9 Kumpulan Rumus Matematika Kelas 7 8 9 Matematika Kelas 7 Matematika Belajar
id.pinterest.com

Belajar Mengenal Dan Menulis Angka 123 Alphabet Worksheets Preschool Alphabet Writing Writing Numbers
www.pinterest.com

7 Titik Banjir Di Tanggamus Dari Pekon Sedayu Hingga Pekon Kacapura Okezone News
news.okezone.com

Diketahui Segitiga Abc Dengan Titik Titik Sudut A 3 7 2 B 1 4 4 Dan C 3 3 2 Mas Dayat
www.masdayat.net

Koordinat Kartesius Matematika Kelas 8 Bse Kurikulum 2013 Revisi 2017 Uk 2 No 2 Koordinat Youtube
www.youtube.com

Ww3wwlwltjucxm

Kelas 08 Smp Matematika S1 Siswa 2017 By P E Thea Issuu
issuu.com

Layar Lcd 2 4 Inch 6 Digit 7 Segmen Lcd Display Modul Ht1621 Lcd Ic Driver Dengan Titik Desimal Putih Lampu Latar Untuk Arduino Demo Board Accessories Aliexpress
id.aliexpress.com

3 A Tuliskan Koordinat Titik Tersebut Secara Berurut Dari Titik 1 Sampai Dengan Titik 7 B Tentukan Brainly Co Id
brainly.co.id

Kunci Jawaban Ada Berapa Titik Yang Berjarak 5 Dari Sumbu X Dan 7 Dari Sumbu Y Tunjukkan Rofa Education Centre
rofaeducationcentre.blogspot.com

1 Tentukan Aturan Untuk Mendapatkan Koordinat Titik Berikutnya 2 Tentukan Koordinat Ke 20 Tanpa Brainly Co Id
brainly.co.id

7 Fakta Sungai Citarum Dari Titik Awal Peradaban Sunda Hingga Rusak Karena Manusia Merdeka Com
www.merdeka.com

Tentukan Koordinat Suatu Titik Pada Garis Hubung A 1 3 5 Dan B 3 7 2 Di Dalam Dan Di Luar Mas Dayat
www.masdayat.net

Doc Soal Pembahasan Garis Lurus Siti Sundari Academia Edu
www.academia.edu

7 Langkah Cara Membuat Titik Titik Pada Daftar Isi Ms Word Trendingnesia
trendingnesia.com

R Ulhq9yleoj6m

Koordinat Kartesius Matematika Kelas 8 Bse Kurikulum 2013 Revisi 2017 Lat 2 2 No 3 Pola Koordi Youtube
www.youtube.com

Soal Dan Pembahasan Uji Kompetensi 1 Matematika Kelas 8 Bab 1 Sistem Koordinat K13 Kedai Mipa
www.allmipa.com

Jawaban Buku Matematika Kelas 8 Ayo Kita Berlatih 2 2 Hal 56 57 Gambar Di Atas Menunjukkan Pentium Sintesi
pentiumsintesi.blogspot.com

Daftar Isidisklimer Matematika Disusun Oleh Heri Dwi Nugroho Ppt Download
slideplayer.info

Nusabali Com Pembebasan Lahan Shortcut Titik 7 8 Dan 9 10 Masih Terkendala Nilai Ganti Rugi
www.nusabali.com

Contoh Soal Persamaan Garis Lurus Dan Pembahasan
soalkimia.com

7 Fakta Poin Nemo Titik Yang Paling Jauh Dari Semua Daratan Di Bumi
www.idntimes.com

Edisi Revisi 2017 Kelas 7 Smp Matematika Siswa 42423 Pages 51 100 Flip Pdf Download Fliphtml5
fliphtml5.com

Pdf Metode Penentuan Titik Koordinat Zona Potensi Penangkapan Ikan Pelagis Berdasarkan Hasil Deteksi Termal Front Suhu Permukaan Laut
www.researchgate.net

Uji Kejelian Mata Yuk Cari Sisi Dadu Dengan 7 Titik Di Gambar In
www.brilio.net

Viewlengkapilah Bagian Yang Belum Terisi Dengan Benar No Titik Titik Acuan Posisi Relatif 1 A B 5 7 1 3 2 C 7 5 D 8 5 3 E 9 3 F 7 6 Docx Document
fdokumen.com

Jual Papan Pcb Bolong Lubang Titik Bnk 04 7 20 5 Cm Jakarta Utara Jayamas Electronic Tokopedia
www.tokopedia.com

Shortcut Titik 7 9 Buleleng Dibangun Tahun 2021 Tribun Bali
bali.tribunnews.com

Jual Produk Ikm Kain Jumputan Titik 7 Palembang Ungu Blanja Com
m.blanja.com

A Tuliskan Koordinat Titik Tersebut Secara Berurut Dari Titik A Sampai Dengan Titik Gb Tentukan Brainly Co Id
brainly.co.id

Isilah Titik Titik Dengan Bilangan Yang Tepat 7 12 16 20 24 30 Brainly Co Id
brainly.co.id

Rizkynur18 Rizkynur18
rizkynur18.wordpress.com

3 A Tuliskan Koordinat Titik Tersebut Secara Berurut Dari Titik 1 Sampai Dengan Titik 7 B Tentukan Brainly Co Id
brainly.co.id

Kunci Jawaban Matematika Kelas 8 Halaman 56 57 Ayo Kita Berlatih 2 2 Kosingkat
www.kosingkat.id

Posisi Titik Pada Koordinat Kartesius Terhadap Titik Acuan Tertentu Danioyo
danioyo.wordpress.com

Jual Redpower 8 Awg Ground Wire Kit Kabel Grounding Mobil Merah 7 Titik Online September 2020 Blibli Com
www.blibli.com

Persamaan Lingkaran Yang Berpusat Di O
www.slideshare.net

Lukisan Ini Terbuat Dari 7 Juta Titik Yang Digambar Dengan Tangan Merdeka Com
www.merdeka.com

Pasar Becek Disulap Jadi Spot Wisata Kuliner Teras Surken Bogor Bima Arya Ada 7 Titik Lagi Isu Bogor
isubogor.pikiran-rakyat.com

Sistem Koordinat Kartesius Ngerjain Pr Yuk
ngerjainpryuk.wordpress.com

Diketahui Dalam Koordinat Kartesius Terdapat Titik P Q R Titik P 4 6 Dan Titik Q 7 1 Jika Titik Brainly Co Id
brainly.co.id

7 Titik Batin Yang Kita Sebut Dengan Lathifah Yaitu Pdf Free Download
docplayer.info

7 Prinsip Haccp
www.synergysolusi.com

Posisi Titik Pada Koordinat Kartesius Terhadap Titik Asal O 0 0 Dan Titik Asal A B Pdf
id.scribd.com

Kain Jumputan Palembang Motif Titik 7 Jd29 Di Lapak Naygaleri Bukalapak
www.bukalapak.com

Penlok Shortcut 7 10 Terbit Pembebasan Lahan Di Tiga Desa Segera Dilakukan Balipost Com
www.balipost.com

Tentukan Bayangan Segitiga Abc Dengan Koordinat Titik Titik A 3 4 B 7 4 Dan C 7 1 Jika Dipetakan Oleh Rotasi Dengan Pusat O Sejauh 90 Derajat
tripasik.com

Nusabali Com Shortcut Titik 7 8 Dan 9 10 Tinggal Penlok
www.nusabali.com

Dzikir Qutub 7 Titik Latifah Santri Salik
santrisalik.wordpress.com

Posisi Titik Dan Garis Pada Koordinat Cartesius Kelas Pintar
www.kelaspintar.id

Tutorial Menjawab Soal Tentang Memahami Posisi Suatu Titik Terhadap Titik Asal 0 0 Dan Titik Tertentu A B Your Chemistry A
www.avkimia.com

Warga Sukabumi Rasakan Goyangan Gempa Jepara Ini Kata Bmkg
sukabumiupdate.com

Cara Mencari Titik Koordinat Lokasi Di Google Maps Cirebon Internet
cireboninternet.com

Tentukan Bayangan Segitiga Abc Dengan Koordinat Titik Titik A 3 4 B 7 4 Dan C 7 1 Jika Dipetakan Oleh Rotasi Dengan Pusat O Sejauh 90 Derajat
tripasik.com

Benahi 7 Titik Jaringan Irigasi Pertanian Dinas Sdatr Pasuruan Gelontor Rp 7 8 Miliar Bangsa Online Cepat Lugas Dan Akurat
m.bangsaonline.com

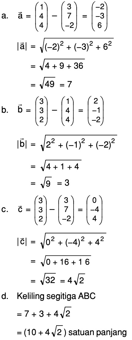
Diketahui Koordinat Titik A 2 1 7 B 2 5 3 Dan C 4 1 1 Titik P Mas Dayat
www.masdayat.net

Kelas 8 Koordinat Ayo Kita Berlatih 2 1 Dan 2 2 Youtube
www.youtube.com

Koordinat Kartesius Matematika Kelas 8 Bse Kurikulum 2013 Revisi 2017 Lat 2 2 No 3 Pola Koordi Youtube
www.youtube.com

4 Diketahui Layang Layang Defg Dengan Titik D 7 2 E 9 5 Dan F 7 7 A Tentukan Koordinat Brainly Co Id
brainly.co.id

A Tuliskan Koordinat Titik Tersebut Secara Berurut Dari Titik A Sampai Dengan Titik G B Brainly Co Id
brainly.co.id

Pcb Bolong Universal Titik 5 X 7 Cm Shopee Indonesia
shopee.co.id

2 Koordinat Kampus Dengan Titik Acuan Stasiun Adalah A 9 7 B 7 8 C 3 2 D Brainly Co Id
brainly.co.id

Posisi Titik Dan Garis Pada Koordinat Cartesius Kelas Pintar
www.kelaspintar.id

Kunci Jawaban Gambarlah Titik A 4 2 B 4 9 C 2 2 Dan D 3 9 Pada Koordinat Kartesius A Tentukan Jarak Setiap Titik Dengan Sumbu X Rofa Education Centre
rofaeducationcentre.blogspot.com

Diguyur Hujan Lebat 7 Titik Di Pupuan Longsor
baliexpress.jawapos.com

Cara Mencari Jarak Antara Dua Titik 6 Langkah Dengan Gambar
id.wikihow.com

Jual Produk Ikm Kain Jumputan Titik 7 Palembang Ungu Blanja Com
m.blanja.com

Soal Dan Pembahasan Transformasi Geometr
www.slideshare.net

Pemerintah Siapkan Rp 200 Miliar Pembebasan Lahan Shortcut Titik 7 8 Dan 9 10 Balipuspanews Com
www.balipuspanews.com

Berikut 7 Titik Razia Masker Psbb Di Perbatasan Kota Dan Kabupaten Bogor Hari Ini Isu Bogor
isubogor.pikiran-rakyat.com

7 Pesepeda Ditabrak Mobil Para Penggowes Serukan Toleransi Di Jalan
news.detik.com

Kunci Jawaban Matematika Kelas 8 Halaman 56 57 Ayo Kita Berlatih 2 2 Kosingkat
www.kosingkat.id

Jawaban Buku Matematika Kelas 7 Ayo Kita Berlatih 1 4 Hal 45 Taksiran Terdekat Untuk Nilai Pentium Sintesi
pentiumsintesi.blogspot.com

Pan Dprd Dki Pasang Wifi Gratis Di 7 Titik Wilayah Duri Kosambi Jakbar
news.detik.com

Hujan Deras Selama 6 Jam Di Bekasi Ini 7 Titik Yang Tergenang
megapolitan.kompas.com

Matematika Kelas 7 Serba Serbi Segitiga Garis Sudut Dan Bangun Istimewa
blog.ruangguru.com

3 A Tuliskan Koordinat Titik Tersebut Secara Berurut Dari Titik 1 Sampai Dengan Titik 7 B Tentukan Brainly Co Id
brainly.co.id

Jual Kaftan Jumputan Palembang Full Titik 7 Kota Palembang Antin Style Gallery Tokopedia
www.tokopedia.com

Kunci Jawaban Matematika Kelas 8 Halaman 56 57 Ayo Kita Berlatih 2 2 Kosingkat
www.kosingkat.id

Diketahui Titik P 2 1 Titikq 2 4 Titik R 7 4 Dan Titik S Jika Keempat Titik Tersebut Dihubungkan Brainly Co Id
brainly.co.id

Ayo Kita Berlatih 2 2 No 6 7 8 9 10 Kelas 8 Smp Mts Koordinat Kartesius Buku Paket Bse Halaman 56 57 Youtube
www.youtube.com

7 Titik Bencana Di Kabupaten Tasik Terjadi Satu Hari
www.ayojakarta.com

Orangtua Keluhkan Titik Koordinat Ppdb Jalur Zonasi Yang Salah Pemkot Bekasi Human Error Halaman All Kompas Com
megapolitan.kompas.com

Tabaco High 7 Eleven Home Facebook
www.facebook.com

Titik Cerah Nasib 7 Tambang Pkp2b Lahan Siap Dipangkas
www.cnbcindonesia.com

Garis Singgung Lingkaran Matematika Kelas 11 Quipper Blog
www.quipper.com

Garis Singgung Lingkaran Matematika Kelas 11 Quipper Blog
www.quipper.com

Soal Dan Pembahasan Latihan 1 2 Kelas 8 Bab 1 Sistem Koordinat Kedai Mipa
www.allmipa.com

Diketahui Koordinat Titik A 1 4 B 3 1 Dan C 7 2 Tentukan Mas Dayat
www.masdayat.net

Kelas 08 Smp Matematika S1 Siswa 2017 By P E Thea Issuu
issuu.com

Lampu Led 7 Watt Audalux 7 Titik 7 Mata Downlight Down Light Kitchen Set Hias Lemari Wardrobe Led Cabinet Light Di Lapak Furnifitts Depok Mebel Fitting Bukalapak
www.bukalapak.com

Buku Bekam Untuk 7 Penyakit Kronis Yufid Store Toko Muslim
yufidstore.com

Katalog Media Bpmpk
m-edukasi.kemdikbud.go.id

Vektor Di Ruang 2 Dan 3
www.slideshare.net

Pancarkan Energi Positifmu Dengan 7 Titik Cakra Manusia Siapakamu Com
www.siapakamu.com

Tentukan Bayangan Segitiga Abc Dengan Koordinat Titik Titik A 3 4 B 7 4 Dan C 7 1 Ini Jawabannya Sriwijaya Post
palembang.tribunnews.com

close