Menjawab Soal Dengan MUdah

Diberikan


Meminta Kembali Barang Yang Sudah Diberikan Muamalah Laduni Layanan Digital Untuk Nahdliyin Nahdlatul Ulama Nu
www.laduni.id

Sukarno
www.stedelijk.nl

Kekayaan Allah Tak Habis Meski Siang Malam Diberikan Pada Hamba Nya
news.detik.com

Doa Agar Diberikan Keturunan Yang Shalih 3 Markaz Imam Malik
mim.or.id

Ini Rincian Blt Yang Diberikan Ke 1 Juta Pengusaha Mikro Tahap I
money.kompas.com

Kalaksa Bpbd Dana Stimulan Bencana Diberikan Bukan Dalam Bentuk
makassar.sindonews.com

Ini Kartu Hijau Pertama Dalam Sepak Bola Diberikan Untuk Apa
www.brilio.net

Doa Agar Diberikan Akhlak Yang Baik Info Inspirasi Resepi
www.aynorablogs.com

Rawatan Terbaik Yang Sedang Diberikan Kepada Pesakit Covid 19 Oleh Kkm Inisiatif
www.amirudinshari.com

Tips Bni Untuk Peserta Kartu Prakerja Manfaatkan Insentif Diberikan Pemerintah Merdeka Com
www.merdeka.com

Greeting Quote Sugeng Enjang Sederek Mugi Tansah Pinaringan Kesehatan Dening Gusti Allah Amin Artinya Selamat Pagi Sau Morning Images Inspiration Image
www.pinterest.com

Latest Circular Dated 10 July 2020 From Director General Of Immigration No Imi Gr 01 01 1102 On Immigration Stay Permit During New Normal Embassy
srilankaembassyjakarta.com

Tanpa Resep Dokter Ini Obat Diare Anak Yang Aman
www.sehatq.com

Exugprauqp4kwm

Jpgkn38ju9etmm

Kemendikbud Bantuan Pulsa Diberikan Ke Semua Mahasiswa Aktif
nasional.kompas.com

Https Encrypted Tbn0 Gstatic Com Images Q Tbn 3aand9gcqwogk 2wis8kvl6mker02os04xmm07shgtniasjz0 Usqp Cau
encrypted-tbn0.gstatic.com

Semoga Kita Diberikan Kekuatan Dan Kemampuan Untuk Selalu Terus Ikuti Perintahnya Aamiiin Yra Qur An Doa Allah
www.pinterest.com

Doa Mohon Diberikan Takdir Baik Dream Co Id
www.dream.co.id

Hoax Surat Dari Halmahera Tambang Emas Maluku Utara Diberikan Ke Pihak Asing Turnbackhoax
turnbackhoax.id

Zikir Hari Isnin In 2020 Story Movie Posters Movies
www.pinterest.com

Vaksin Korona Mulai Coba Diberikan Kepada Manusia
m.lampost.co

Diberikan Sec A 3 Dan 0 Lt A Lt 5 2 Maka Nilai Dari Tan A Cosec A Tan A Cosec A Adalah Brainly Co Id
brainly.co.id

Doa Memohon Diberikan Kesihatan Yang Baik Youtube
www.youtube.com

5 Kasta Play Button Penghargaan Yang Diberikan Untuk Para Youtuber Diadona Id
www.diadona.id

Aseania Resort Spa Langkawi Island Home Facebook
www.facebook.com

10 Obat Yang Berbahaya Jika Diberikan Kepada Bayi Ibupedia
www.ibupedia.com

Biofarmasi Sediaan Yang Diberikan Melalui Kulit
www.slideshare.net

Kapan Usia Ideal Untuk Pendidikan Seks Pada Anak
www.klikdokter.com

Sarman Printing Design Print Shop
foursquare.com

Biofarmasi Sediaan Yang Diberikan Melalui Kulit
www.slideshare.net

Assalamu Alaikum Selamat Pagi Semoga Kita Tetap Di Mug By Sonnycobain Boldomatic Shop
boldomatic.com

Pospbb
112.78.188.243

Doa Mohon Agar Diberikan Petunjuk Lengkap Dengan Artinya Doa Dan Sholawat
bloggerdoa.blogspot.com

Alhamdulillah Sampai Hari Ini Masih Diberikan Kehidupan Dan Kesehatan Terima Kasih Ya Allah
whisper.sh

Lovebird Juara Vit Power Lovebird Bursa Kicaumania Flickr
www.flickr.com

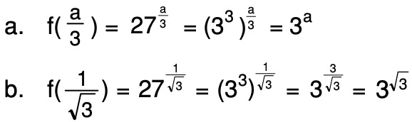
Diberikan F X 27x Tentukan Nilai Dari A F A 3 B F 1 3 Mas Dayat
www.masdayat.net

Bandung Masuk Fase Akb Ini Relaksasi Yang Diberikan Pemkot Bandung
m.ayobandung.com

Daftar Lengkap Obat Yang Diberikan Untuk Pasien Covid 19 Di Indonesia
jatim.suara.com

Brainly Co Id Cari Pertanyaanmu Di Sini Sekolah Menengah Pertama Matematika 13 7 Brainly Co Id
brainly.co.id

Imunisasi Hepatitis B Manfaat Dan Kapan Vaksin Hepatitis B Diberikan Primaya Hospital
primayahospital.com

Instagram Photo By Reza Julianto Oct 13 2015 At 10 07am Utc Iman Allah Beri
www.pinterest.com.mx

Bolehkan Zakat Profesi Diberikan Ke Orang Tua
islam.nu.or.id

Erick Thohir Sebut Vaksin Covid 19 Akan Diberikan Gratis Pada Peserta Bpjs Kesehatan Ketentuannya Tribun Kaltim
kaltim.tribunnews.com

Uji Kompetensi 1 2 No 2 Induksi Matematika Kelas 11 Sma Smk Ma Buku Paket Revisi 2017 Halaman 24 25 Youtube
www.youtube.com

Hukuman Yg Pernah Diberikan Guru Melari Dice Bersiha Hourlukurang Greget Kalobelumpernahkenanh Hukuman Dice Meme On Me Me
me.me

Ncka4o1svrw9 M

Baby Empire Home Facebook
www.facebook.com

Imunisasi Dpt Manfaat Dan Kapan Vaksin Dpt Diberikan Primaya Hospital
primayahospital.com

Matius 7 7 Mintalah Maka Akan Diberikan Kepadamu Carilah Maka Kamu Akan Mendapat Ketoklah Maka Pintu A Kutipan Alkitab Kutipan Kristen Ayat Alkitab
id.pinterest.com

Bansos Diberikan Tanpa Pengecualian
mediaindonesia.com

Ini Nih 13 Daftar Julukan Yang Diberikan Dunia Untuk Indonesia
www.goodnewsfromindonesia.id

Msg Cyber Doa Agar Diberikan Petunjuk Dan Ketakwaan
msg-cyber.blogspot.com

Beberapa Doa Diberikan Kesihatan Yang Baik Dan Doa Ketika Sakit Doa Harian
doaharian.net


thoriqussalaf.com

Diberikan Terjemahan Dalam Bahasa Inggris Diberikan Dalam Sebuah Kalimat Dalam Bahasa Indonesia
tr-ex.me

C7xcstsrhd O M

Biofarmasi Sediaan Yang Diberikan Melalui Kulit
www.slideshare.net

Subsidi Kuota Gratis Hanya Diberikan Untuk Daerah Terjangkau Internet
www.jawapos.com

Apa Tugas Yang Diberikan Oleh Allah Kepada Manusia Tunjukkan Ayatnya Brainly Co Id
brainly.co.id

Hoax Surat Dari Halmahera Tambang Emas Maluku Utara Diberikan Ke Pihak Asing Turnbackhoax
turnbackhoax.id

Kementerian Komunikasi Dan Informatika
kominfo.go.id

5fvoo3oqeb2o M

Sertifikat Impian Sebuku Bersama Eyang Sapardi 2019 By Senorita Andria Septy Medium
medium.com

Assalamu Alaikum Selamat Pagi Semoga Kita Tetap Di Museum Quality Poster 16x16in By Sonnycobain Boldomatic Shop
boldomatic.com

Penghargaan Satyalancana Karya Satya Diberikan Kepada Pegawai Sekolah Pascasarjana Unair Sekolah Pascasarjana
pasca.unair.ac.id

Doa Agar Diberikan Kekuatan Iman By Ustaz Amal On Amazon Music Amazon Com
www.amazon.com

Apa Kebaikan Yang Diberikan Pohon Apel Mengapa Merasa Kesepian
oriflameid.com

Diberikan F X 27 X Carilah Nilai Dari Brainly Co Id
brainly.co.id

Vaksin Varicella Dapat Diberikan Untuk Anak Dan Dewasa Alodokter
www.alodokter.com

Bagaimana Cara Menjaga Amanah Atau Titipan Yang Diberikan Kepada Kita Tugas Tvri Rabu 13 Mei 2020 Tribun Pontianak
pontianak.tribunnews.com

Omg Semoga Diberikan Jalan Yg Terbaik Pengganti Yg Lebih Baik Gbu
whisper.sh

Sekretariat Kabinet Republik Indonesia Blt Dana Desa Diberikan Untuk April Mei Dan Juni Sekretariat Kabinet Republik Indonesia
setkab.go.id

10 Makanan Atau Minuman Yang Tak Boleh Diberikan Ke Kucing Republika Online
republika.co.id

5 Fakta Subsidi Gaji Yang Diberikan Jokowi Bisnis Tempo Co
bisnis.tempo.co

Subsidi Kuota Belajar Disalurkan Besok Mahasiswa Diberikan 50 Gb Perbulan Jurnal Arena
jurnalarena.pikiran-rakyat.com

Doa Agar Diberikan Keturunan Heavy M Flickr
www.flickr.com

Bantuan Tunai Rp 600 Ribu Bakal Diberikan Mulai September Hingga Desember 2020 Galamedia News
galamedia.pikiran-rakyat.com

Amankah Vaksin Difteri Untuk Ibu Hamil Alodokter
www.alodokter.com

Daftar Vaksin Kucing Dasar Dan Tambahan Yang Penting Anda Ketahui
www.sehatq.com

Lkt2st2pb3 Interactive Worksheet
www.liveworksheets.com

Obat Cacing Mulai Bisa Diberikan Saat Anak Berusia Parenting Dream Co Id
parenting.dream.co.id

Diberikan X 24 Dan Y 54 Tentukan Hasil Operasi Youtube
www.youtube.com

Kapan Vaksin Rabies Perlu Diberikan
www.klikdokter.com

Polri Tanggapi Napoleon Mengaku Tak Diberikan Uang Djoko T Republika Online
republika.co.id

Blt Pekerja Bergaji Rp5 Juta Akan Diberikan September
www.cnnindonesia.com

Area Pool Resto Dan Hall Picture Of Ayom Java Village Solo Colomadu Tripadvisor
www.tripadvisor.com

Talenta 7 Macam Tunjangan Karyawan Dari Perusahaan
www.talenta.co

Adult Vaccination Vaksinasi Dewasa Dr Indra K Muhtadi Dokter Plus
www.indramuhtadi.com

My Publications Raja Rimba Episode 01 Pdf Page 32 33 Created With Publitas Com
view.publitas.com

Ini Besaran Bantuan Kuota Yang Akan Diberikan Kemendikbud
edukasi.sindonews.com

Peraturan Futsal 10 Pelanggaran Ini Membuatmu Diberikan Tendangan Bebas Langsung Dan Penalti Bolalob Com
bolalob.com

Assalamualaikum Selamat Pagi Semua Saya Doakan Semoga Anda Semua Diberikan Kesihatan Yang Baik Ingat Herbal Medicine Recipes Herbal Medicine How To Plan
www.pinterest.com

Jumat Barokah Smoga Kita Semua Selalu Sehat Wal Afiat Dan Flickr
www.flickr.com

Sabarlah By Nisa Milati Biyantini Medium
medium.com

Doa Agar Terus Diberikan Kesihatan Kisah Zakat Malaysia Facebook
ko-kr.facebook.com

Pangeran Qatar Diberikan Gelar Master Usc Meski Hampir Tak Pernah Kuliah Okezone News
news.okezone.com

Mensyukuri Nikmat Allah Swt Atas Segala Karunia Yang Telah Diberikan Dunia Pgmi
www.duniapgmi.com

With My Heart Good Night Gbu Matius 7 7 8 Tb Mintalah Maka Akan Di Kata Kata Alkitab Ayat Alkitab Alkitab
www.pinterest.com

800 Gelandangan Akan Diberikan Kerja Tetap Selepas Tempoh Pkp Berakhir
odisi.my

Biofarmasi Sediaan Yang Diberikan Melalui Kulit
www.slideshare.net

close