Menjawab Soal Dengan MUdah

Diketahui Titik P4 5


Soal Asli Utbk 2019 Matematika Saintek Statistika Youtube Matematika Statistika Simpangan Baku
id.pinterest.com

Sistem Koordinat Kartesius Welist Wordpress Com
funmath14.wordpress.com

Bagaimana Pelaut Dahulu Mampu Membuat Sketsa Bentuk Sebuah Pulau Seperti Voc Membuat Peta Kepulauan Hindia Belanda Meskipun Tidak Presisi Tapi Cukup Mendekati Metode Apa Yang Dipakai Quora
id.quora.com

Koordinat Cartesius Dan Kutub Trigonometri Beni95h
www.beni95h.com

Trigonometri
pdfslide.tips

Enjoy With Matematic Trigonometri
sastrawati21.blogspot.com

Sistem Koordinat Dimensi 2 Geo Anal Sancita
sancita.wordpress.com

Posi Yey Jawabannya B Selamat Buat Yang Bener Facebook
www.facebook.com

Jarak Titik Ke Titik Pada Kubus Contoh 2
umma.id

Pengolahan Data Pengikatan Ke Belakang Metode Collins
id.scribd.com

Catatan Ku Dimensi Tiga
darmadi2012.blogspot.com

Tt X Bab 9 Pdf Google Drive
drive.google.com

Gab 1 Letak Titik Pada Garis Pdf Document
fdokumen.com

Adalah Untuk Mengetahui Jarak Ambang Batas Aman Sesuai Who Dan Sni Dengan Course Hero
www.coursehero.com

Irisan Kerucut Paket B Docx Google Drive
drive.google.com

Kel 10
id.scribd.com

Bagaimana Pelaut Dahulu Mampu Membuat Sketsa Bentuk Sebuah Pulau Seperti Voc Membuat Peta Kepulauan Hindia Belanda Meskipun Tidak Presisi Tapi Cukup Mendekati Metode Apa Yang Dipakai Quora
id.quora.com

Toko Alat Survey Dan Pemetaan Pengukuran Poligon Ts Sokkia Im52 Memori Internal 50 000 Titik
www.peralatansurveyindosurta.com

Soal Asli Utbk 2019 Matematika Saintek Dimensi Tiga Youtube Matematika Asli
id.pinterest.com

Mengkonversi Koordinat Kartesius Dan Kutub
pt.scribd.com

Koordinat Kutub Dan Koordinat Cartesius Youtube
www.youtube.com

Modul16 A Lidiyana Smpn1meral Geogebra
www.geogebra.org

Pembahasan Un 2019 Fungsi Kuadrat
www.matjitu.com

Pembahasan Tugas Vektor Youtube
www.youtube.com

Pe Luang
pdfslide.tips

2019 12 16 17 31 42 0000
twitter.com

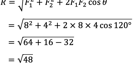
Ada Dua Buah Vektor Gaya Yang Masing Masing Nya Mempunyai 8 N Dan 4 N Dan Saling Mengapit Sudut 120 Mas Dayat
www.masdayat.net

Trik Cepat Grs Singgung Pd Kurva Bimbel Nhsc Youtube
www.youtube.com

Konversi Koordinat Kutub Ke Koordinat Kartesius Dan Sebalikinya Docx Document
vdocuments.site

Bab Iv Isometri Untuk Memahami Defenisi Di Atas Perhatikan Contoh Berikut
pdfslide.net

Diketahui Koordinat Titik P 4 3 Jarak Titik P Ke Sumbu X Adalah Satuan
idedukasi.id

Soal Integral Lagi Nih Tex Int Limits X 2 1 3 X Sin 3 X 2 1 4 Cos X 2 1 4 Brainly Co Id
brainly.co.id

Contoh Soal Proyeksi Skalar Dan Proyeksi Vektor Orthogonal Vektormatematika Cute766
cute766.info

Doc Menetukan Titik Koordinat Wennedi Sundoro Academia Edu
www.academia.edu

Dimensi Tiga Diketahui Kubus Abcd Efgh Dengan Panjang Rusuk 4 Cm Titik P Terletak Pada Perpanjan Youtube
www.youtube.com

Vektor8 Soal Perbandingan Vektor Youtube
www.youtube.com

42 Diketahui Jarak Kota P Ke Q 30 Km Komunitas Geografi Facebook
fr-fr.facebook.com

Diketahui Dalam Kordinat Kartesius Terdapat Titik P Q Dan R Titik P 4 6 Dan Titik Q 7 1 Jika Titik P Q Dan R Dihubungkan Akan
id-eduanswers.com

Berliana M On Twitter Sarah Auliaa Ooh Iya Ka Jadi Itu Gimana Kak
twitter.com

Geometri Analitik Bidang Kutub Atau Koordinat Polar Koordinat Cartesius Dan Y Adalah Ordinatnya Sumbu Koordinat Membuat Bidang Dalam Menjadi Dalam Pdf Document
vdokumen.com

Resume Metode Cara Kemuka
geospasmayardazizah.blogspot.com

Gsprao9y6eruem

34 35 36 Tugas 1
id.scribd.com

Gsprao9y6eruem

Contoh Soal Proyeksi Skalar Dan Proyeksi Vektor Orthogonal Vektormatematika Cute766
cute766.info

Modul Parabola Persiapan Osn Astronomi
dokumen.tips

Mtk Wajib
id.scribd.com

Lkpd Dan Bahan Ajar
id.scribd.com

Catatan Ku Dimensi Tiga
darmadi2012.blogspot.com

Matematika Jajar Genjang Linggau Pos Online
www.linggaupos.co.id

Wow Murah Meriah Buku Un Sma Ipa Best Seller Kupas Tuntas Kisi Kisi Un Usbn Sma Ipa 2020 Terbuk Shopee Indonesia
shopee.co.id

Titik Tembus Diketahui Limas T Abcd Titik P Pada Bidang Abcd Titik Q Pada Td Lukis Titik Tembu Youtube
www.youtube.com

Tugas Geometri Analitik
id.scribd.com

Halaman 103 Matematika Pdf 4x U2212 3y U2212 18 U2212 25 0 U2192 4x U2212 3y U2212 43 0 Jawaban D 10 Pembahasan Ingat Persamaan Garis Singgung Lingkaran Course Hero
www.coursehero.com

Agar Anda Lebih Jelas Mengenai Rotasi Terhadap Titik Pusat O00 Sebesar 90 Course Hero
www.coursehero.com

Pin Oleh Nu Gitaa Di Buku Catatan
www.pinterest.ch

Belajar Ukur Tanah Gsl 1 4 Koordinat
belajar-ukur-tanah1.blogspot.com

Rleni Files Viewcontoh 1 Pada Balok Abcd Efgh Diketahui Titik P Q Dan R Berturut Turut Adalah Titik Tengah Rusuk Ab Bc Dan Dh Lukislah Bidang Irisan Yang Melalui Titik P Q
dokumen.tips

Kubus Pqrs Tuvw Mempunyai Panjang Rusuk 4 Cm Jarak Titik B Terhadap Diagonal Uw Adalah
projecrasa.web.app

Contoh Soal Dan Jawaban Penjumlahan Vektor Guru Ilmu Sosial
www.ilmusosial.id

Pembahasan Dimensi Tiga Sbmptn 2017 Matematika Dasar Kode 226 Dunia Informa
www.umptn.konsep-matematika.com

Geometri Analitik Bab Ii Kedudukan Titik Titik Dan Jarak Antara Dua Titik
lindayekaj.blogspot.com

Jarak Titik Ke Titik Pada Kubus Contoh 2
umma.id

Kuat Medan Listrik Di Titik P Adalah Fisika Kelas 12 Youtube
www.youtube.com

Lkpd Dan Bahan Ajar
id.scribd.com

Pin Di Random
www.pinterest.dk

Kunci Cara Menghitung Jarak Titik Ke Garis Pada Kubus Dimensi Tiga
soalfisikamipa.blogspot.com

Sistem Koordinat Kartesius Welist Wordpress Com
funmath14.wordpress.com

Koordinat Cartesius Math Youtube
www.youtube.com

Mineral Resources And Technology Research Papers Academia Edu
www.academia.edu

Koordinat Cartesius Dan Kutub Trigonometri Beni95h
www.beni95h.com

Dimensi Tiga Diketahui Kubus Abcd Efgh Dengan Panjang Rusuk 4 Cm Titik P Terletak Pada Perpanjan Youtube
www.youtube.com

Modul16 D Norindang S Pd Sman 1 Palangka Raya Geogebra
www.geogebra.org

Vektor Posisi Pdf Google Drive
docs.google.com

Gab 1 Letak Titik Pada Garis Pdf Document
fdokumen.com

Koordinat Cartesius Dan Kutub Trigonometri Beni95h
www.beni95h.com

Page 61 12sma Matematika
primagama.noip.me

Mengkonversi Koordinat Cartesius Ke Koordinat Kutub Docx
id.scribd.com

Rleni Files Viewcontoh 1 Pada Balok Abcd Efgh Diketahui Titik P Q Dan R Berturut Turut Adalah Titik Tengah Rusuk Ab Bc Dan Dh Lukislah Bidang Irisan Yang Melalui Titik P Q
dokumen.tips

Pembahasan Transformasi Um Ugm 2018 Matematika Ipa Kode 576 Dunia Informa
www.umptn.konsep-matematika.com

No 3 Kak Diskusi Pr Mejakita
www.mejakita.com

Enjoy With Matematic Trigonometri
sastrawati21.blogspot.com

Trigonometri Perbandingan Trigonometri Pada Sistem Koordinat
berbagimedia.wordpress.com

Diketahui Titik P 2 1 Q 2 4 R 7 4 Dan Tentukan Titik S Agar Keempat Titik Tersebut Dihubungkan Akan Membentuk
idedukasi.id

2301964224 Discussion 3 Math Business
www.scribd.com

Sistem Koordinat Kartesius Siku Siku Geo Anal Sancita
sancita.wordpress.com

Matematika Xii Hashtag On Twitter
twitter.com

Mengonversi Koordinat Kartesius Ke Polar Dan Sebaliknya 7mt16
7mt16.wordpress.com

2010 Pembahasan Dimensi Tiga Utul Ugm Matematika Ipa Dunia Informa
www.umptn.konsep-matematika.com

Bab 1 Trigonometri
pdfslide.net

Diketahui Titik A B Dan C Segaris Dengan A 2 13 Dan B 6 1 Jika Ac Cb 1 3 Koordinat Titik C Brainly Co Id
brainly.co.id

Bentuk Koordinat Koordinat Kartesius Koordinat Polar Koordinat Tabung Koordinat Bola Pptx Powerpoint
fdokumen.site

34 35 36 Tugas 1
id.scribd.com

Photos At Gazebo Si Fst Universitas Airlangga Student Center In Surabaya
foursquare.com

Repeat Ayo Kita Berlatih 8 4 Matematika Kelas 7 No 11 15 Bab 8 Segiempat Dan Segitiga By Bu And Channel You2repeat
awww.you2repeat.com

A 108 O B 118 O 10 Sudut Reflek Dari Sudut 72 O Adalah A 18 O B 108 O 11 D 6 8 Course Hero
www.coursehero.com

Kubus Pqrs Tuvw Mempunyai Panjang Rusuk 4 Cm Jarak Titik B Terhadap Diagonal Uw Adalah
projecrasa.web.app

Sistem Koordinat Kartesius Welist Wordpress Com
funmath14.wordpress.com

Enjoy With Matematic Trigonometri
sastrawati21.blogspot.com

Mbakcim Twitter
twitter.com

close