Menjawab Soal Dengan MUdah

Jarak Titik P2 5 Dan Q2 7 Adalah


Soal Dan Pembahasan Materi Jarak Titik Ke Garis Dimensi Tiga Sm4tik
sm4tik.blogspot.com

Rmspp C2g Lehm

Solved Figure 7 Shows The Top View Front View And Small Chegg Com
www.chegg.com

Fokus Dari Suatu Hiperbola Pendidikan Matematika
yos3prens.wordpress.com

Business Australia Indonesia Youth Association
www.aiya.org.au

Jawab 2 O 2 O S O 1 R Q 4 1 E Q R 4 E Q Da E R R 1 R R 2 R 1 R Q Q Q 2 Q Q Q Q Course Hero
www.coursehero.com

Rumus Jarak Lingkaran Dan Titik Tengah Doc Document
fdokumen.site

Pembuktian Rumus Jarak Dari Titik Ke Bidang Pembuktian Rumus Jarak Dari Titik Ke Bidang Apabila
dokumen.tips

Adib Hasan Com Web Viewhasilnya Adalah Kedua Bola Tersebut Tolak Menolak Gambar 13 1 B Beberapa
pdfslide.tips

Contact List Png Cliparts Pngwave
www.pngwave.com

Matematika Teknik Dasar 2 7 Titik Akan Berada Pada Kurva 1 Jika Garis Normal Terhadap Bidang Pdf Document
vdokumen.com

Abghitz Download Instagram Hashtag Photos And Videos Imginn Com
imginn.com

Lembar Kerja Jarak Dan Sudut
dokumen.tips

Fis 3 Induksi Magnet Bagian Bawah Kereta Terdapat Magnet Listrik Yang Melayang Di Atas Rel Bermagnet Listrik Kereta Dapat Bergerak Lebih Cepat Karena Gaya Gesekan Berkurang Author
pdfslide.tips

Geometri Analitik Bab Ii Kedudukan Titik Titik Dan Jarak Antara Dua Titik
lindayekaj.blogspot.com

Adalah Untuk Mengetahui Jarak Ambang Batas Aman Sesuai Who Dan Sni Dengan Course Hero
www.coursehero.com

25 Best Memes About Memes Memes Funny
ballmemes.com

Titik Tembus Diketahui Limas T Abcd Titik P Pada Bidang Abcd Titik Q Pada Td Lukis Titik Tembu Youtube
www.youtube.com

Soal Dan Pembahasan Materi Jarak Titik Ke Garis Dimensi Tiga Sm4tik
sm4tik.blogspot.com

Pembahasan Soal Medan Magnet No 7a Youtube
www.youtube.com

Jarak Titik Ke Garis Pada Limas Segi Empat 1 Matematika Wajib Kelas 12 1 2 Youtube
www.youtube.com

Cara Menghitung Jarak Titik Ke Bidang Marthamatika
www.marthamatika.com

Adib Hasan Com Web Viewhasilnya Adalah Kedua Bola Tersebut Tolak Menolak Gambar 13 1 B Beberapa Docx Document
fdokumen.com

Dengan Mengingat Kembali Rumus Jarak Antara 2 Titik
id.scribd.com

Pembahasan Dimensi Tiga Um Undip 2016 Matematika Dasar Ipa Dunia Informa
www.umptn.konsep-matematika.com

Jawab 2 O 2 O S O 1 R Q 4 1 E Q R 4 E Q Da E R R 1 R R 2 R 1 R Q Q Q 2 Q Q Q Q Course Hero
www.coursehero.com

Steller Create Beautiful Social Media Stories
steller.co

Dimensi Daya Adalah Mas Dayat
www.masdayat.net

Pdf Konsep Kesejajaran Garis Dalam Geometri Euclid Dan Geometri Riemann Serta Aplikasinya Dalam Kajian Ilmu Falak
www.researchgate.net

Ialah Jarak Garis Serenjang Dari Meridian Ke Titik Tengah Di Garis Sempadan Course Hero
www.coursehero.com

Tuliskan Rumus Menghitung Panjang Garis Singgung Lingkaran Brainly Co Id
brainly.co.id

Jika Jarak Antara P Dan Q Adalah 50 Cm Berapa Panjang Gelombang Dan Cepat Course Hero
www.coursehero.com

500 Km Dan Satu Sama Lainjuga Disebut Tropohambur Tropospheric Scattering Course Hero
www.coursehero.com

Ialah Jarak Garis Serenjang Dari Meridian Ke Titik Tengah Di Garis Sempadan Course Hero
www.coursehero.com

Adalah Untuk Mengetahui Jarak Ambang Batas Aman Sesuai Who Dan Sni Dengan Course Hero
www.coursehero.com

Awsome Gaming Pmpl Indonesia 2020 Final Day 2 Match Round 10 Facebook
www.facebook.com

Catatan Ku Dimensi Tiga
darmadi2012.blogspot.com

Cihat Alqaysi Cijantung Club Pages Directory
www.facebook.com

Unbk Sma 2019 Pembahasan Matematika Ipa No 32 Kombinasi Latihan Unbk 2020 Youtube Matematika Ipa Sma
id.pinterest.com

Satuan Si Yang Dipakai Adalah Watt Arus Listrik Yang Mengalir Dalam Rangkaian Course Hero
www.coursehero.com

Catatan Ku Dimensi Tiga
darmadi2012.blogspot.com

B Gz2e62f7zmkm

Fokus Dari Suatu Hiperbola Pendidikan Matematika
yos3prens.wordpress.com

Tlg Yaq Kak Thnku Brainly Co Id
brainly.co.id

B Gz2e62f7zmkm

Dimensi 3 Part 6 Irisan Bangun Ruang Youtube
www.youtube.com

Nrwaea7s5irnbm

Persamaan Lingkaran Docx
id.scribd.com

Untuk Menentukan Latak Suatu Titik Dalam Ruang Tiga Web Viewmisalkan Adalah Vektor Posisi Titik Doc Document
fdokumen.site

Diketahui Kubus Abcd Efgh Memiliki Panjang Rusuk 12 Cm Titik O Merupakan Perpotongan Diagonal Sisi Brainly Co Id
brainly.co.id

What S Up I M Back Guyss Sesuai Request Dari Kalian Nih Catetan Ipa Karena Banyak Yang Lebih Memilih Gerak Benda Daripada Gaya Dan Hukum Fisika Ipa Gerak
www.pinterest.at

Solved Figure 7 Shows The Top View Front View And Small Chegg Com
www.chegg.com

Soal Dan Pembahasan Materi Jarak Titik Ke Garis Dimensi Tiga Sm4tik
sm4tik.blogspot.com

Persamaan Garis Lurus Lingkaran Pptx Powerpoint
fdokumen.site

Modul Parabola Persiapan Osn Astronomi
dokumen.tips

Lim X Mendekati Cos X Sinx Cosx Lim X Mendekati P 2 X Sin X Lim X Mendekati 0 Cos X Cos 3x 1 Cos 2x Youtube
www.youtube.com

Transformasi Geometri Rumus Translasi Refleksi Rotasi Contoh Soal
bacaboy.com

Tian Melontarkan Batu Kecil Menggunakan Katapel Secara Vertikal Ke Atas Dengan Kecepatan Awal 14 7 Mas Dayat
www.masdayat.net

Lingkaran Materi Pertemuan 2
aryautamajaya.blogspot.com

Tugas Geometri Analitik
id.scribd.com

Cara Membuat Smps Dari Gacun Teknologi
www.pinterest.co.kr

Cihangir Yazimci Ciiroo Pages Directory
www.facebook.com

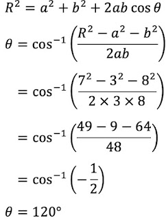
Dua Vektor Masing Masing 3 M Dan 8 M Dengan Satu Titik Tangkap Ternyata Besar Resultannya Sebesar 7 N Mas Dayat
www.masdayat.net

Menemukan Panjang Garis Singgung Persekutuan Dalam Lingkaran Pendidikan Matematika
yos3prens.wordpress.com

Jarak Antar Dua Garis Lurus G1 Dan G2
www.scribd.com

Dimensi 3 Jarak P Ke Q Pada Kubus Contoh 4 Youtube
www.youtube.com

20180928000210 Page 3 Hmps Pendidikan Matematika Usd
hmpspmatusd.wordpress.com

Pasang Surut Disarikan Dari Buku Mixing In Inland And Coastal Waters Oleh Hugo Course Hero
www.coursehero.com

Cara Menghitung Jarak Titik Ke Bidang Marthamatika
www.marthamatika.com

Dengan Mengingat Kembali Rumus Jarak Antara 2 Titik
id.scribd.com

03 A Sistem Koordinat Youtube
www.youtube.com

Geometri Analitik Bab Vi Koordinat Kartesius Vektor Dan Persamaan Bidang Dalam Ruang Dimensi
hendrisastrio.blogspot.com

Dengan Mengingat Kembali Rumus Jarak Antara 2 Titik
id.scribd.com

Kode 381 Pembahasan Jarak Terdekat Soal Um Ugm Matematika Ipa Tahun 2016 Dunia Informa
www.umptn.konsep-matematika.com

Gaya Magnetik Antara Dua Penghantar Lurus Sejajar Berarus
dokumen.tips

Wow Murah Meriah Buku Un Sma Ipa Best Seller Kupas Tuntas Kisi Kisi Un Usbn Sma Ipa 2020 Terbuk Shopee Indonesia
shopee.co.id

Human Resource Accounting Png Cliparts Pngwave
www.pngwave.com

Fokus Dari Suatu Hiperbola Pendidikan Matematika
yos3prens.wordpress.com

Soal Dan Pembahasan Materi Jarak Titik Ke Garis Dimensi Tiga Sm4tik
sm4tik.blogspot.com

Pin Oleh Pearly Glitz Di Study Di 2020 Buku Pelajaran Buku Tulis Belajar
id.pinterest.com

Pengertian Titik Garis Sudut Dan Kurva
dokumen.tips

Soal Dan Pembahasan Materi Jarak Titik Ke Garis Dimensi Tiga Sm4tik
sm4tik.blogspot.com

Pembahasan Dimensi Tiga Sbmptn 2017 Matematika Dasar Kode 232 Dunia Informa
www.umptn.konsep-matematika.com

Lbajn2hrstavqm

Rdqa2s Ltqphym

Medan Listrik
creaticals.com

Arus Listrik Merupakan Satu Dari Tujuh Satuan Pokok Dalam Satuan Internasional Course Hero
www.coursehero.com

7 Poin Bantu Aku Please Pakai Caranya Ya Makasih Yg Ngasal Maaf Aku Block Delete Acc Brainly Co Id
brainly.co.id

Adalah Untuk Mengetahui Jarak Ambang Batas Aman Sesuai Who Dan Sni Dengan Course Hero
www.coursehero.com

Gravitasi Dua Buah Planet P Dan Q Mengorbit Matahari Perbandingan Antara Jarak Planet P Dan Q Ke M Youtube
www.youtube.com

Persamaan 9 Digunakan Jika Ingin Mengetahui E Pada Titik P Yang Berjarak R Dari Course Hero
www.coursehero.com

25 Best Memes About Memes Memes Funny
ballmemes.com

Doc Dilatasi Rotasi Translasi Dan Refleksi Adalah Transformasi Baiq Elok Academia Edu
www.academia.edu

Lingkaran Materi Pertemuan 2
aryautamajaya.blogspot.com

Lingkaran Ui 2018 412
id.scribd.com

Soal Dimensi Tiga Dan Pembahasannya Nomor 3 Joniparlindungan Com
www.joniparlindungan.my.id

Contact List Png Cliparts Pngwave
www.pngwave.com

10 4 4 Penyelesaian Segitiga Spm Praktis Kertas 2 Matematik Tambahan Spm
spmmatematiktambahan.blog.onlinetuition.com.my

Pengetahuan Dasar Pemetaan Plus Bahasan Soal Dan Soal Latihan Youtube
www.youtube.com

Dailysocial Id Oppo Reno 2 Launch
www.facebook.com

close