Menjawab Soal Dengan MUdah

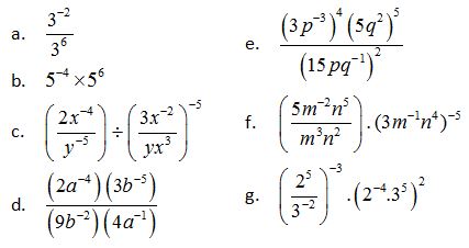
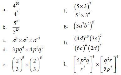
Latihan 11 Bilangan Berpangkat


Ruang Emak Kelas 4 Tema 7 Subtema 1 Latihan Soal Pts Uts Smster 2 Facebook
ms-my.facebook.com

Modul Bentuk Pangkat
www.slideshare.net

Modul Bentuk Pangkat
www.slideshare.net

Bilangan Berpangkat Dan Bentuk Akar Pdf Free Download
docplayer.info

Kelas 09 Smp Matematika Siswa 1
pdfslide.net

Contoh Soal Dan Pembahasan Bilangan Berpangkat Kelas 9 Guru Ilmu Sosial
www.ilmusosial.id

Kelas 09 Smp Matematika Siswa 1
pdfslide.net

Modul Bilangan Berpangkat
www.slideshare.net

4 Satuan 1 Satuan
id.scribd.com

Bilangan Berpangkat Kelas 9 Latihan 1 1 No 1 5 Diknas Youtube
www.youtube.com

Latihan 1 1 Matematika Kelas 9 Bse K13 Rev 2018 Perpangkatan Dan Bentuk Akar Youtube
www.youtube.com

Buku Guru Kelas Ix Matematika K 13
www.slideshare.net

Perpangkatan Dan Bentuk Akar Ppt Download
slideplayer.info

Rencana Pelaksanaan Pembelajaran Pdf Free Download
adoc.tips

Viewbab 2 Bilangan Pecahan Latihan 1 A Docx Document
fdokumen.com

Bab I Perpangkatan Dan Bentuk Akar Smp Kelas 9 Bentuk Akar 1 1 Menghargai Dan Menghayati Ajaran Pdf Document
fdokumen.com

Buku Pegangan Siswa Matematika Smp Kelas
id.123dok.com

Latihan Penjodoh Bilangan Pdf Document
fdokumen.com

Berkelas Ppt Download
slideplayer.info

Bab 1 Faktorisasi Suku Aljabar Soal Latihan Pdf Download Gratis
docplayer.info

Latihan 1 1 Nomor 6 7 8 9 10 Kelas 9 Smp Mts Perpangkatan Bentuk Akar Paket Mtk Bse Revisi 2018 Youtube
m.youtube.com

Materi Bilangan Bulat Beserta Contoh Soalnya
rumusrumus.com

Bab 1 Pendahuluan 1 1 Pe Bab 1 Pendahuluan 1 1 Dan Pembentukan Akhlak Mulia Pada Masyarakat
dokumen.tips

Buku Siswa Matematika Kelas 9 Revisi 2018 Compressed Pages 1 50 Text Version Anyflip
anyflip.com

Jawaban Soal Matematika Kelas 9 Kurikulum 2013 Latihan 3 4 Nomor 1 5 Uraian
playtube.pk

Bagaimana Untuk Membiak Bilangan Besar Matematik 2020
may.topbrainscience.com

Kunci Jawaban Matematika Kelas 9 Latihan 11 Sanjau Com
www.sanjau.com

Uji Kompetensi Eksponen Sma Kurikulum 2013 Soal Dan Pembahasan 1 1 Defantri Com
www.defantri.com

Kesan Latihan Kendiri Dinamik Terhadap Konsep Kendiri Dan Perilaku Asertif Dalam Kalangan Pegawai Kanan Polis Trafik
1library.net

2

Playtube Pk Ultimate Video Sharing Website
playtube.pk

Latihan 1 1 Nomor 6 7 8 9 10 Kelas 9 Smp Mts Perpangkatan Bentuk Akar Paket Mtk Bse Revisi 2018 Youtube
m.youtube.com

Http Eprints Umpo Ac Id 4298 8 Lampiran Pdf

Uji Kompetensi Eksponen Sma Kurikulum 2013 Soal Dan Pembahasan 1 1 Defantri Com
www.defantri.com

Latihan 1 1bilangan Berpangkat1 Nyatakan Perkalian Berulang Berikut Dalam Perpangkataa 2 Brainly Co Id
brainly.co.id

Latihan 1 1 Matematika Kelas 9 Bse K13 Rev 2018 Perpangkatan Dan Bentuk Akar Youtube
www.youtube.com

Bilangan Pangkat For Android Apk Download
apkpure.com

Doc Bilangan Berpangkat Wahyu Tri Budi Utami Academia Edu
www.academia.edu

Irfan Report Docx Universiti Pendidikan Sultan Idris Fakulti Muzik Dan Seni Persembahan Laporan Akhir Ami 1336 Laporan Akhir Latihan Industri Pusat Course Hero
www.coursehero.com

Kunci Jawaban Buku Wajib Matematika Kelas 7 Semester 1 Bab 1 Bilangan Di Lapak Lapak Didit Bukalapak
www.bukalapak.com

9 Tugas Soal Ini Kata Ridwan Kamil Soal Lonjakan 962 Kasus Corona Di
9-tugas-soal.curtsingertrailers.net

Kelas 9 Latihan 1 1 No 6 7 8 9 10 Matematika Semester 2 Revisi 2018 Bilangan Berpangkat Youtube
www.youtube.com

Buku Guru Kelas Ix Matematika K 13
www.slideshare.net

9 Tugas Soal Ini Kata Ridwan Kamil Soal Lonjakan 962 Kasus Corona Di
9-tugas-soal.curtsingertrailers.net

Rpp 1 Lembar Matematika Smp Mts Kurikulum 2013 Revisi 2020 Info Pendidikan Terbaru
www.guru-id.com

Buku Siswa Matematika Kelas 9 Revisi 2018 Compressed Pages 1 50 Text Version Anyflip
anyflip.com

Latihan 1 4 Mtk Kelas 9 K13 No 1 7 Pangkat Positif Pangkat Nol P Matematika
www.danlajanto.com

Buku Guru Kelas Ix Matematika K 13
www.slideshare.net

Iatihan Latihan 1 1 Bilangan Berpangkat Kelas 9 Brainly Co Id
brainly.co.id

Uji Kompetensi 1 Membandingkan Bilangan Bulat Matematika Kelas 7 Soal Dan Pembahasan Pilihan Ganda 11 20 Kedai Mipa
www.allmipa.com

Insight Chamber Buku Bse Smp Kelas 9 Teori Dan Pembahasan Soal
insight-chamber.blogspot.com

Kunci Jawaban Latihan 1 1 Matematika Kelas 9 Kurikulim 2013 Nomor 6 7 8 9 10 Brainly Co Id
brainly.co.id

Latihan 1 1 Bilangan Berpangkat Brainly Co Id
brainly.co.id

Pdf Bab 1 Sma Erliani Harahap Academia Edu
www.academia.edu

Jawaban Matematika Kelas 9 Hal 10 11 Latihan 1 1 Bilangan Berpangkat Pentium Sintesi
pentiumsintesi.blogspot.com

Latihan 1 1 Bilang Berpangkat No 4 10 Brainly Co Id
brainly.co.id

Abad 21 Learning Note Notes
www.myprivatetutor.my

Latihan 1 1bilangan Berpangkatnyatakan Perkalian Berulang Berikuta 2 2 2 Ing Berikut Brainly Co Id
brainly.co.id

Viewbab 2 Bilangan Pecahan Latihan 1 A Docx Document
fdokumen.com

Contoh Soal Dan Pembahasan Bilangan Berpangkat Kelas 9 Guru Ilmu Sosial
www.ilmusosial.id

30 Latihan Penjodoh Bilangan Docx Document
fdokumen.com

Insight Chamber Buku Bse Smp Kelas 9 Teori Dan Pembahasan Soal
insight-chamber.blogspot.com

Soal Eksponen Sma Latihan 1 Blog Mipa
www.blogmipa.com

Kunci Jawaban Buku Paket Matematika Kelas 9 Halaman 10 11 Latihan 1 1 Bilangan Berpangkat Jawaban Buku Paket
www.jawabanbukupaket.com

Bilangan Pangkat For Android Apk Download
apkpure.com

Jawaban Latihan 1 1 Matematika Kelas 9 No 3 Caranya Gimana Besok Dikumpul Brainly Co Id
brainly.co.id

Soal Dan Pembahasan Buku Siswa Matematika Kls 9 Latihan 1 3 Halaman 27 Nesajamath
nesajamath.blogspot.com

9 Tugas Soal Ini Kata Ridwan Kamil Soal Lonjakan 962 Kasus Corona Di
9-tugas-soal.curtsingertrailers.net

Materi Matematika Smp Mts Kelas 9 Semester Ganjil Kurikulum 2013 Didno76 Com
www.didno76.com

Buku Matematika Smp Kelas Ix Kurikulum 2013
www.slideshare.net

Kunci Jawaban Matematika Kelas 9 Latihan 11 Sanjau Com
www.sanjau.com

Kunci Jawaban Buku Paket Matematika Kelas 9 Halaman 10 11 Latihan 1 1 Bilangan Berpangkat Jawaban Buku Paket
www.jawabanbukupaket.com

Buku Guru Kelas Ix Matematika K 13
www.slideshare.net

Latihan 1 1 No 6 10 Bilangan Berpangkat Matematika Kelas 9 Bab 1 Youtube
m.youtube.com

Kesan Latihan Kendiri Dinamik Terhadap Konsep Kendiri Dan Perilaku Asertif Dalam Kalangan Pegawai Kanan Polis Trafik
1library.net

Modul Matematika Sma Ma Bentuk Pangkat Akar Dan Logaritma Flip Book Pages 1 14 Pubhtml5
pubhtml5.com

Modul Matematika Sma Ma Bentuk Pangkat Akar Dan Logaritma Flip Book Pages 1 14 Pubhtml5
pubhtml5.com

Pembahasan Soal Tantangan Bilangan Berpangkat Latihan 1 1 Buku Paket Youtube
www.youtube.com

Http Dun Terengganu Gov My Files Link 2009m1p2d12 Pdf

Kunci Jawaban Matematika Kelas 9 Halaman 10 11 Latihan 1 1 Kosingkat
www.kosingkat.id

Modul Bentuk Pangkat
www.slideshare.net

Kelas X Semester I Kd 1 1 Tp 2013 Ppt Download
slideplayer.info

Perpangkatan Dan Bentuk Akar Ppt Download
slideplayer.info

Kelas 09 Smp Matematika Siswa 1
pdfslide.net

Ruang Emak Kelas 4 Tema 7 Subtema 1 Latihan Soal Pts Uts Smster 2 Facebook
ms-my.facebook.com

Bagaimana Untuk Membiak Bilangan Besar Matematik 2020
may.topbrainscience.com

9 Tugas Soal Ini Kata Ridwan Kamil Soal Lonjakan 962 Kasus Corona Di
9-tugas-soal.curtsingertrailers.net

Soal Matematika Kelas 9 Dengan Cara Kerjanya Brainly Co Id
brainly.co.id

Jawaban Soal Matematika Kelas 9 Kurikulum 2013 Latihan 1 1 No 2 Brainly Co Id
brainly.co.id

Modul Bentuk Pangkat
www.slideshare.net

Pembahasan Soal Bilangan Berpangkat Latihan 1 1 Halaman 11 Youtube
www.youtube.com

Jawaban Soal Matematika Kelas 9 Kurikulum 2013 Latihan 3 4 Nomor 1 5 Uraian
playtube.pk

Latihan 1 1 Mtk Kelas 9 K13 No 7 10 Bilangan Berpangkat Matematika
www.danlajanto.com

Soal Eksponen Sma Latihan 1 Blog Mipa
www.blogmipa.com

Buku Guru Matematika Smp Mts Kelas Ix Kurikulum 2013 Edisi Revisi 2018
epaper.myedisi.com

Bilangan Berpangkat Kelas 9 Latihan 1 1 Matematika Kelas 9 Youtube
www.youtube.com

Bahan Ajar Docx
id.scribd.com

2

Soal Eksponen Sma Latihan 1 Blog Mipa
www.blogmipa.com

Bab 1 Faktorisasi Suku Aljabar Soal Latihan Pdf Download Gratis
docplayer.info

close