Menjawab Soal Dengan MUdah

Latihan 14 Matematika Kelas 9 No 2


Buku Guru Kelas Ix Matematika K 13
www.slideshare.net

Soal Dan Pembahasan Matematika Latihan 4 2 Kelas 8 Bab Persamaan Garis Lurus Kedai Mipa
www.allmipa.com

Soal Dan Pembahasan Buku Siswa Matematika Kls 9 Semester 1 Latihan 1 4 Hal 46 Pentium Sintesi
pentiumsintesi.blogspot.com

Latihan 14 Pangkat Nol Pangkat Negatif Dan Bentuk Akar Seputar Bentuk
seputarbentuk.blogspot.com

Pembahasan Matematika Smp Kelas 7 Kurikulum 2013 Latihan 1 4 Semester 2 Smp Negeri 1 Situbondo
8-spensasi.blogspot.com

Buku Matematika Smp Kelas Ix Kurikulum 2013
www.slideshare.net

Buku Guru Kelas Ix Matematika K 13
www.slideshare.net

All Posts Kosingkat
www.kosingkat.id

Sederhanakan Bentuk Akar Berikut Matematika Kelas 9 K13 Halaman 49 1 4 Brainly Co Id
brainly.co.id

Http Eprints Ums Ac Id 55803 2 02 Halaman 20depan Pdf

Http Eprints Ums Ac Id 55803 2 02 Halaman 20depan Pdf

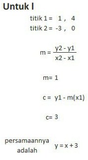
Soal Dan Pembahasan Latihan 4 3 Matematika Kelas 8 Bab Persamaan Garis Lurus Kedai Mipa
www.allmipa.com

Kunci Jawaban Matematika Kelas 8 Halaman 22 23 Ayo Kita Berlatih 1 4 Kosingkat
www.kosingkat.id

Buku Matematika Kelas 9 Pages 51 100 Flip Pdf Download Fliphtml5
fliphtml5.com

Jawaban Latihan 1 4 Matematika Kelas 9 Halaman 46 Perpangkatan Dan Bentuk Akar Bastechinfo
www.bastechinfo.com

Latihan 1 4 Halaman 38 Juju Fix
id.scribd.com

Materi Matematika Smp Mts Kelas 9 Semester Ganjil Kurikulum 2013 Didno76 Com
www.didno76.com

Paket Matematika Kelas 8 Semester 1 Hal 22 Ayo Kita Berlatih 1 4 Brainly Co Id
brainly.co.id

Soal Dan Pembahasan Latihan 4 3 Matematika Kelas 8 Bab Persamaan Garis Lurus Kedai Mipa
www.allmipa.com

Jawaban Matematika Kelas 8 Halaman 22 Guru Ilmu Sosial
www.ilmusosial.id

Jawaban Latihan 1 4 Bab 1 Matriks Mtk Kelas 12 Halaman 51 Basbahanajar Com
www.basbahanajar.com

Kls 8 Ayo Kita Berlatih 1 4tolong Ya Kak Brainly Co Id
brainly.co.id

Buku Guru Kelas Ix Matematika K 13
www.slideshare.net

Playtube Pk Ultimate Video Sharing Website
playtube.pk

Kelas X Matematika Bs
www.yumpu.com

Latihan 1 4 Nomor 11 12 13 14 15 Kelas 9 Smp Mts Pangkat Negatif Bentuk Akar Mtk Bse Hal 46 Youtube
www.youtube.com

Matematika Kelas 9 Pages 101 150 Text Version Anyflip
anyflip.com

Latihan 1 5 Mtk Kelas 9 K13 No 1 6 Notasi Ilmiah By Matematika Danlajanto
cyberspaceandtime.com

All Posts Kosingkat
www.kosingkat.id

Buku Matematika Kelas 9 Pages 51 100 Flip Pdf Download Fliphtml5
fliphtml5.com

Buku Guru Kelas Ix Matematika K 13
www.slideshare.net

All Posts Kosingkat
www.kosingkat.id

Buku Siswa Matematika Kelas 9 Revisi 2018
id.123dok.com

Jawaban Uji Kompetensi 1 Matematika Kelas 9 Smp Halaman 58 Kurikulum 2013 Revisi 2018 Docx Jawaban Uji Kompetensi 1 Matematika Kelas 9 Smp Halaman 58 Course Hero
www.coursehero.com

Latihan 1 4 Buku Paket Kelas 9 Halaman 46 Nomor 2 Sampai 6 Brainly Co Id
brainly.co.id

Http Eprints Ums Ac Id 55803 2 02 Halaman 20depan Pdf

Latihan 1 4 Matematika Kelas 9 Bse K13 Rev 2018 Perpangkatan Dan Bentuk Akar Youtube
m.youtube.com

Matematika Kelas 7 Semester 1 Kurikulum 2013
www.slideshare.net

Jawaban Latihan 1 4 Bab 1 Matriks Mtk Kelas 12 Halaman 51 Contoh Materi Pendidikan
contohmateripendidikan.blogspot.com

Kunci Jawaban Matematika Kelas 9 Halaman 10 11 Latihan 1 1 Kosingkat
www.kosingkat.id

All Posts Kosingkat
www.kosingkat.id

Jawaban Latihan 1 4 Bab 1 Matriks Mtk Kelas 12 Halaman 51 Contoh Materi Pendidikan
contohmateripendidikan.blogspot.com

Jawaban Pg Ayo Kita Berlatih 1 4 Halaman 45 Mtk Kelas 7 Bilangan Bastechinfo
www.bastechinfo.com

Soal No 13 Latihan 1 4 Kelas 9 Semester 1 Brainly Co Id
brainly.co.id

Buku Guru Kelas Ix Matematika K 13
www.slideshare.net

Lengkap Kunci Jawaban Buku Paket Matematika Latihan 1 4 Pangkat Nol Pangkat Negatif Dan Bentuk Akar Halaman 46 47 47 49 Kelas 9 Kurikulum 2013 Jawaban Buku Paket
www.jawabanbukupaket.com

Bs 9 Matematika Edisi Revisi 2018 Pages 51 100 Flip Pdf Download Fliphtml5
fliphtml5.com

Paket Matematika Kelas 8 Semester 1 Hal 22 Ayo Kita Berlatih 1 4 Brainly Co Id
brainly.co.id

Soal Dan Pembahasan Latihan 4 3 Matematika Kelas 8 Bab Persamaan Garis Lurus Kedai Mipa
www.allmipa.com

Buku Matematika Kelas 10 Kurikulum 2013
www.slideshare.net

Latihan 1 4 No 1 6 Pangkat Nol Pangkat Negatif Dan Bentuk Akar Matematika Kelas 9 Bab 1 Youtube
m.youtube.com

Kunci Jawaban Matematika Kelas 9 Halaman 46 49 Latihan 1 4 Kosingkat
www.kosingkat.id

Bab 1 Perpangkatan Dan Bentuk Akar
id.scribd.com

Latihan 1 4 No 13 15 Pangkat Nol Pangkat Negatif Dan Bentuk Akar Matematika Kelas 9 Bab 1 Youtube
www.youtube.com

Lengkap Kunci Jawaban Buku Paket Matematika Latihan 1 4 Pangkat Nol Pangkat Negatif Dan Bentuk Akar Halaman 46 47 47 49 Kelas 9 Kurikulum 2013 Jawaban Buku Paket
www.jawabanbukupaket.com

Latihan 1 4 Nomor 1 2 3 4 5 Kelas 9 Smp Mts Pangkat Nol Pangkat Negatif Mtk Bse Revisi 2018 Hal 46 Youtube
www.youtube.com

Https Matematohir Files Wordpress Com 2014 06 Buku Pegangan Guru Matematika Sma Kelas 10 Kurikulum 2013 Edisi Revisi 2014 Pdf

Latihan 14 Pangkat Nol Pangkat Negatif Dan Bentuk Akar No 13 Seputar Bentuk
seputarbentuk.blogspot.com

Latihan 1 4 Mtk Kelas 9 K13 No 8 15 Pangkat Positif Pangkat Nol Matematika
www.danlajanto.com

All Posts Kosingkat
www.kosingkat.id

Latihan 1 4 Pangkat Nol Pangkat Negatif Dan Bentuk Akar Jawaban Matematika Nesajamath
nesajamath.blogspot.com

Latihan 1 4 Nomor 6 7 8 9 10 Kelas 9 Smp Mts Pangkat Nol Bentuk Akar Mtk Bse Revisi 2018 Hal 46 Youtube
www.youtube.com

Matematika Kelas 9 Pages 51 100 Text Version Anyflip
anyflip.com

Buku Guru Kelas Ix Matematika K 13
www.slideshare.net

Jawaban Soal Matematika Wajib Kelas 11 Uji Kompetensi 1 No 1 5 By Arman Efendi
cyberspaceandtime.com

Kunci Jawaban Matematika Latihan 14 Sanjau Com
www.sanjau.com

Lengkap Latihan 1 4 Kelas 9 Smp Mts Semester 1 Pangkat Nol Negatif Akar Mtk Bse Revisi 2018 Halmn 46 Youtube
www.youtube.com

All Posts Kosingkat
www.kosingkat.id

Buku Siswa Matematika Kelas 9 Revisi 2018 Compressed Pages 1 50 Text Version Anyflip
anyflip.com

Buku Siswa Matematika Kelas 9 Revisi 2018 Compressed Pages 1 50 Text Version Anyflip
anyflip.com

Contoh Soal Dan Pembahasan Sifat Koligatif Larutan Latihan 1 4 Tips And Trik 5
mamapayish-online.blogspot.com

Latihan 1 4 Pangkat Nol Pangkat Negatif Dan Bentuk Akar Jawaban Matematika Nesajamath
nesajamath.blogspot.com

Https Matematohir Files Wordpress Com 2015 06 Buku Pegangan Guru Matematika Smp Kelas 9 Kurikulum 2013 Pdf

Kunci Jawaban Matematika Kelas 9 Halaman 30 32 Latihan 1 3 Kosingkat
www.kosingkat.id

Https Matematohir Files Wordpress Com 2015 06 Buku Pegangan Guru Matematika Smp Kelas 9 Kurikulum 2013 Pdf

Kunci Jawaban Matematika Kelas 9 Halaman 46 49 Latihan 1 4 Kosingkat
www.kosingkat.id

Latihan 1 4 Halaman 38 Juju Fix
id.scribd.com

Notasi Ilmiah Bentuk Baku Latihan 1 4 Hal 32 Buku Paket Siswa Brainly Co Id
brainly.co.id

Lengkap Kunci Jawaban Buku Paket Matematika Latihan 1 4 Pangkat Nol Pangkat Negatif Dan Bentuk Akar Halaman 46 47 47 49 Kelas 9 Kurikulum 2013 Jawaban Buku Paket
www.jawabanbukupaket.com

Buku Guru Kelas Ix Matematika K 13
www.slideshare.net

Jawaban Ayo Kita Berlatih 1 4 Halaman 22 Dengan Cara Nya Brainly Co Id
brainly.co.id

Soal Dan Pembahasan Matematika Latihan 4 2 Kelas 8 Bab Persamaan Garis Lurus Kedai Mipa
www.allmipa.com

Buku Matematika Kelas 9 Pages 1 50 Flip Pdf Download Fliphtml5
fliphtml5.com

Latihan 1 5 Mtk Kelas 9 K13 No 1 6 Notasi Ilmiah By Matematika Danlajanto
cyberspaceandtime.com

Latihan 1 4 Matematika Kelas 9 Bse K13 Rev 2018 Perpangkatan Dan Bentuk Akar Youtube
m.youtube.com

All Posts Kosingkat
www.kosingkat.id

Mtk Ayo Kita Berlatih 1 4 Kelas 8 K 13 Tolong D Jawab Besok D Kumpul Brainly Co Id
brainly.co.id

Jawaban Ayo Kita Berlatih 1 4 Nomor 4 Matematika Kelas 8 Semua 1 Brainly Co Id
brainly.co.id

Latihan 1 4 Nomor 1 2 3 4 5 Kelas 9 Smp Mts Pangkat Nol Pangkat Negatif Mtk Bse Revisi 2018 Hal 46 Youtube
www.youtube.com

Latihan 14 Pangkat Nol Pangkat Negatif Dan Bentuk Akar No 13 Seputar Bentuk
seputarbentuk.blogspot.com

Lengkap Kunci Jawaban Buku Paket Matematika Latihan 1 4 Pangkat Nol Pangkat Negatif Dan Bentuk Akar Halaman 46 47 47 49 Kelas 9 Kurikulum 2013 Jawaban Buku Paket
www.jawabanbukupaket.com

Latihan 1 1 Nomor 6 7 8 9 10 Kelas 9 Smp Mts Perpangkatan Bentuk Akar Paket Mtk Bse Revisi 2018 Youtube
m.youtube.com

Soal 1 5 Pembahasan Ayo Kita Berlatih 5 1 Matematika Kelas 7 Bab Perbandingan K13 Kedai Mipa
www.allmipa.com

Soal Matematika Kelas 9 Smp Mts 2020 Dan Dengan Kunci Jawabnnya
majalahpendidikan.com

Playtube Pk Ultimate Video Sharing Website
playtube.pk

Soal Dan Pembahasan Latihan 4 3 Matematika Kelas 8 Bab Persamaan Garis Lurus Kedai Mipa
www.allmipa.com

Latihan 1 4 Buku Paket Smp Kelas 9 Hal 46 Kurtilas Tolong Di Bantu Secepatnya Brainly Co Id
brainly.co.id

Latihan 1 5 Mtk Kelas 9 K13 No 1 6 Notasi Ilmiah By Matematika Danlajanto
cyberspaceandtime.com

Notasi Ilmiah
www.scribd.com

Materi Kelas 9 Pangkat Nol Pangkat Negatif Dan Bentuk Akar Tolong Dibantu Bagi Yang Bisa Soal Yg Brainly Co Id
brainly.co.id

close