Menjawab Soal Dengan MUdah

Matematika Latihan 21 Kelas 9


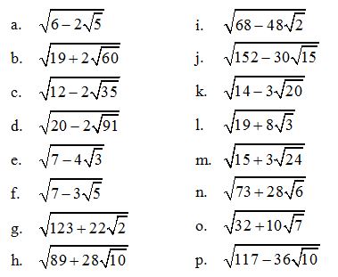
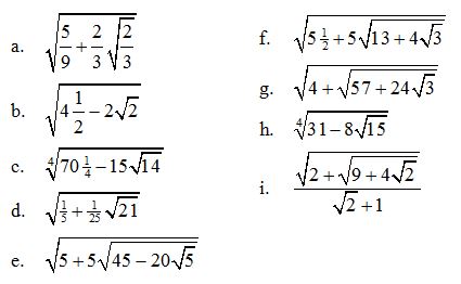
Latihan 2 5 Penyederhanaan Bentuk Aljabar K 2013 Matematika
www.danlajanto.com

Pembahasan Ayo Kita Berlatih 2 3 Matematika Kelas 7 Bab Himpunan K13 Kedai Mipa
www.allmipa.com

Buku Guru Kelas Ix Matematika K 13
www.slideshare.net

Kunci Jawaban Matematika Kelas 6 Penerbit Mediatama Guru Ilmu Sosial
www.ilmusosial.id

Matematika Kelas Xii K13 Buku Guru
www.slideshare.net

Buku Siswa Matematika Kelas 9 Revisi 2018 Compressed Pages 1 50 Text Version Anyflip
anyflip.com

Buku Guru Matematika Kelas X
eksis.ditpsmk.net

Buku Guru Kelas Ix Matematika K 13
www.slideshare.net

Matematika Kelas 9 Menyelesaikan Persamaan Kuadrat
blog.ruangguru.com

All Posts Kosingkat
www.kosingkat.id

Soal Eksponen Sma Latihan 2 Blog Mipa
www.blogmipa.com

Https Matematohir Files Wordpress Com 2015 06 Buku Pegangan Guru Matematika Smp Kelas 9 Kurikulum 2013 Pdf

Kelas 9 Matematika Uji Kompetensi 2 1 Brainly Co Id
brainly.co.id

Latihan 2 1 Persamaan Kuadrat No 1 3 Matematika Kelas 9 Bab 2 Persamaan Dan Fungsi Kuadrat Hal 81 Youtube
www.youtube.com

Buku Pegangan Guru Matematika Smp Kelas 9 Kurikulum 2013
www.slideshare.net

All Posts Kosingkat
www.kosingkat.id

Matematika Sma Kelas X Semester 1 Siswa Pages 51 100 Flip Pdf Download Fliphtml5
fliphtml5.com

Https Bsd Pendidikan Id Data 2013 Kelas 12sma Guru Kelas 12 Sma Matematika Guru Pdf

Matematika Kelas 12 Aturan Perkalian Dan Faktorial Dalam Teori Peluang
blog.ruangguru.com

Kelas 09 Smp Matematika Siswa 1
pdfslide.net

Kunci Jawaban Matematika Kelas 9 Halaman 81 82 Latihan 2 1 Kosingkat
www.kosingkat.id

Https Matematohir Files Wordpress Com 2015 06 Buku Pegangan Guru Matematika Smp Kelas 9 Kurikulum 2013 Pdf

Soal Matematika Kelas 9 Smp Mts 2020 Dan Dengan Kunci Jawabnnya
majalahpendidikan.com

Latihan 2 1 Persamaan Kuadrat No 1 3 Matematika Kelas 9 Bab 2 Persamaan Dan Fungsi Kuadrat Hal 81 Youtube
www.youtube.com

Buku Guru Kelas Ix Matematika K 13
www.slideshare.net

Kunci Jawaban Matematika Kelas 9 Halaman 81 82 Latihan 2 1 Kosingkat
www.kosingkat.id

Bantu Dong Mastah Tugas Matematika Kelas 9 Hal 81 Latihan 2 1 No 4 A B C D E Brainly Co Id
brainly.co.id

Buku Matematika Smp Kelas Ix Kurikulum 2013
www.slideshare.net

Soal Eksponen Sma Latihan 2 Blog Mipa
www.blogmipa.com

Jawaban Latihan 2 1 Halaman 81 Matematika Kelas 9 Persamaan Dan Fungsi Kuadrat Bastechinfo
www.bastechinfo.com

Https Bsd Pendidikan Id Data 2013 Kelas 12sma Guru Kelas 12 Sma Matematika Guru Pdf

Pdf Bab 2 Pola Barisan Dan Deret Suci Rahma Academia Edu
www.academia.edu

Menyajikan Himpunan Ke Dalam Diagram Venn Ppt Download
slideplayer.info

Soal Dan Jawaban Anril Analisis Real 2 1 Kedai Mipa
www.allmipa.com

Pembahasan Kimia Erlangga Penyetaraan Redoks Dan Elektrokimia Latihan 2 1 Tips And Trik 5
mamapayish-online.blogspot.com

Termokimia Teori Dan Pembahasan Kunci Soal Kimia Xi Unggul Sudarmo Mas Dayat
www.masdayat.net

Kunci Jawaban Buku Siswa Matematika Latihan 2 1 Kelas 9 Semester 1 Pentium Sintesi
pentiumsintesi.blogspot.com

Buku Siswa Matematika Kelas 9 Revisi 2018
id.123dok.com

3ftyqulpl9xw6m

Buku Matematika Kelas 9 Pages 51 100 Flip Pdf Download Fliphtml5
fliphtml5.com

Pembahasan Latihan 2 3 Pertidaksamaan Linear Satu Variabel Kelas Vii Kurikulum 2013 Konsep Matematika Koma
www.konsep-matematika.com

Pembahasan Latihan 2 1 Persamaan Dan Pertidaksamaan Linear Satu Variabel Kelas Vii Kurikulum 2013 Konsep Matematika Koma
www.konsep-matematika.com

Materi Matematika Smp Mts Kelas 9 Semester Ganjil Kurikulum 2013 Didno76 Com
www.didno76.com

Bahas Soal Matematika Kelas X Kurikulum 2013 Uji Kompetensi 2 1 Tentang Spltv Blog Matematika
www.blogmatematika.net

Pdf Buku Kurikulum 2013 Matematika Kelas Vii Buku Guru Tejo Susiratmoko Academia Edu
www.academia.edu

Lengkap Kunci Jawaban Buku Paket Matematika Latihan 2 1 Persamaan Kuadrat Halaman 81 82 Kelas 9 Kurikulum 2013 Jawaban Buku Paket
www.jawabanbukupaket.com

Latihan 2 1 Matematika Kelas 9 Bse K13 Revisi 2018 Persamaan Dan Fungsi Kuadrat Youtube
www.youtube.com

All Posts Kosingkat
www.kosingkat.id

Jawaban Buku Matematika Kelas 7 Kurikulum 2013 Ayo Kita Berlatih 2 1 Halaman 116 Plisssss Jawab Brainly Co Id
brainly.co.id

Soal Matematika Kelas 9 Smp Mts 2020 Dan Dengan Kunci Jawabnnya
majalahpendidikan.com

Tentukan Nilai Diskriminan Pada Soal No 1 Brainly Co Id
brainly.co.id

All Posts Kosingkat
www.kosingkat.id

Repeat Latihan 2 3 Mtk Kelas 9 K13 No 4 6 Sumbu Simetri Dan Nilai Optimum By Matematika Danlajanto You2repeat
awww.you2repeat.com

Latihan 2 4 Pembagian Bentuk Aljabar K 2013 Matematika
www.danlajanto.com

Pembahasan Kimia Erlangga Penyetaraan Redoks Dan Elektrokimia Latihan 2 1 Tips And Trik 5
mamapayish-online.blogspot.com

Tolong Bantuin Jawab Ya Yang Nomer 2 Latihan 2 1 Brainly Co Id
brainly.co.id

Latihan 2 5 Penyederhanaan Bentuk Aljabar K 2013 Matematika
www.danlajanto.com

Laporan Individu Praktik Pengalaman Lapangan Ppl Pdf Free Download
docplayer.info

Kunci Jawaban Matematika Kelas 8 Halaman 52 Ayo Kita Berlatih 2 1 Kosingkat
www.kosingkat.id

Persamaan Dan Fungsi Kuadrat Smp Kelas 9 Buku Bse Revisi 2018 Matematika Bab 2 Lat 2 1 No 1 6 Youtube
www.youtube.com

Latihan 2 1 Nomor 1 2 3 Kelas 9 Smp Mts Semester 1 Persamaan Fungsi Kuadrat Mtk Bse Halaman 81 82 Youtube
m.youtube.com

Kunci Jawaban Buku Wajib Matematika Kelas 7 Semester 1 Bab 2 Himpunan Di Lapak Lapak Didit Bukalapak
www.bukalapak.com

Playtube Pk Ultimate Video Sharing Website
playtube.pk

Jawaban Buku Paket Matematika Kelas 9 Halaman 81 Brainly Co Id
brainly.co.id

Jawaban Buku Siswa Matematika Kelas 9 Latihan 2 2 Hal 92 Pentium Sintesi
pentiumsintesi.blogspot.com

Buku Siswa Matematika Kelas 9 Revisi 2018 Pages 51 100 Flip Pdf Download Fliphtml5
fliphtml5.com

Buku Siswa Matematika Kelas 9 Revisi 2018
id.123dok.com

Latihan 2 4 Pembagian Bentuk Aljabar K 2013 Matematika
www.danlajanto.com

Buku Guru K 13 Revisi 2016 Kelas 7 Smpmts Matematika
www.yumpu.com

Https Matematohir Files Wordpress Com 2015 06 Buku Pegangan Siswa Matematika Smp Kelas 9 Kurikulum 2013 Semester 22 Pdf

Materi Seni Budaya Kelas 9 Smp Mts Kurikulum 2013 Edisi Revisi 2018
www.amongguru.com

Https Matematohir Files Wordpress Com 2015 06 Buku Pegangan Guru Matematika Smp Kelas 9 Kurikulum 2013 Pdf

Jawaban Buku Siswa Matematika Kelas 9 Latihan 2 3 Hal 102 Pentium Sintesi
pentiumsintesi.blogspot.com

Latihan 2 1 Nomor 4 Kelas 9 Smp Mts Semester 1 Persamaan Dan Fungsi Kuadrat Mtk Bse Halaman 81 82 Youtube
www.youtube.com

Tolong No 2 6 7 9 Matematika Kelas 7 Latihan 2 1 Brainly Co Id
brainly.co.id

Pembahasan Ayo Kita Berlatih 2 1 Matematika Kelas 7 Bab Himpunan K13 Kedai Mipa
www.allmipa.com

Tugas Matematika Kelas Xii K13 Latihan 2 1 3 Halaman 1 0 1 3 Blogger Adalah Jendela Dunia
jawatimur-belajar.blogspot.com

Buku Siswa Matematika Kelas 9 Revisi 2018 Compressed Pages 1 50 Text Version Anyflip
anyflip.com

Buku Matematika Kelas X
id.scribd.com

Pembahasan Kimia Erlangga Penyetaraan Redoks Dan Elektrokimia Latihan 2 1 Tips And Trik 5
mamapayish-online.blogspot.com

Latihan 2 1 Mtk Kelas 9 K13 No 4 6 Persamaan Kuadrat Youtube
www.youtube.com

Matematika Kls 8 Bab 2
id.scribd.com

Latihan 1 2 Nomor 1 2 3 4 5 6 Kelas 9 Smp Mts Perkalian Pada Perpangkatan Paket Mtk Bse Revisi 2018 Youtube
www.youtube.com

Sumber Belajar Seamolec
sumberbelajar.seamolec.org

Http Repositori Kemdikbud Go Id 14546 1 7 20penggunaan 20alat 20peraga 20dalam 20pembelajaran 20matematika 20di 20smp Pdf

Jawaban 2 1 Mat Revisi 2018 Hal 81 Brainly Co Id
brainly.co.id

Kunci Jawaban Matematika Kelas 8 Semester 1 Kurikulum 2013 Hal 52 Ayo Kita Berlatih 2 1 Brainly Co Id
brainly.co.id

Persamaan Dan Fungsi Kuadrat Smp Kelas 9 Buku Bse Revisi 2018 Matematika Bab 2 Lat 2 1 No 1 6 Youtube
www.youtube.com

Blogger Adalah Jendela Dunia August 2016
jawatimur-belajar.blogspot.com

Kunci Jawaban Matematika Kelas 12 Kurikulum 2013 Guru Ilmu Sosial
www.ilmusosial.id

Http Repositori Kemdikbud Go Id 14546 1 7 20penggunaan 20alat 20peraga 20dalam 20pembelajaran 20matematika 20di 20smp Pdf

Kelas 09 Smp Matematika Siswa 1
pdfslide.net

Buku Guru Kelas Ix Matematika K 13
www.slideshare.net

Kunci Jawaban
studylibid.com

Buku Guru Kelas Ix Matematika K 13
www.slideshare.net

Jawaban Latihan 2 2 Halaman 92 Matematika Kelas 9 Persamaan Dan Fungsi Kuadrat Bastechinfo
www.bastechinfo.com

Soal Transformasi Geometri Kelas 9 Smp
id.scribd.com

Laporan Individu Praktik Pengalaman Lapangan Ppl Pdf Free Download
docplayer.info

Matematika Smp Kelas 9 Semester 1 Kurikulum 2013 Aplikasi Di Google Play
play.google.com

Kunci Jawaban Latihan 2 1 Buku Paket Matematika Kelas 9 Youtube
www.youtube.com

close