Menjawab Soal Dengan MUdah

Pecahan Berikut


Kelas 6 Matematika Hardi By Yeti Herawati Issuu
issuu.com

Ubahlah Pecahan Berikut Menjadi Pecahan Biasa A 5 3 8 B 2 3 5 C 11 5 12 D 6 3 7 E 10 1 16 Brainly Co Id
brainly.co.id

Mengubah Pecahan Ficha Interactiva
es.liveworksheets.com

Tentukan Hasil Operasi Hitung Pecahan Berikut Dalam Bentuk Pecahan Paling Sederhana 4 2 3 0 6 X 2 5
tripasik.com

Bs Matematika Kelas 4 Datadikdasmen Com Pages 51 100 Flip Pdf Download Fliphtml5
fliphtml5.com

Jawaban Soal Smp Tvri Selasa 4 8 Urutkan Pecahan Berikut Dari Yang Terbesar Ke Yang Terkecil Tribun Ternate
ternate.tribunnews.com

Materi Pecahan Kelas 3 Sd Guru Ilmu Sosial
www.ilmusosial.id

Urutkan Pecahan Pecahan Berikut Mulai Dari Yang Terkecil Gunakan Tanda Lt 3 6 5 6 1 6 Brainly Co Id
brainly.co.id

Urutkan Pecahan Berikut Dari Yang Terkecil Sampai Yang Terbesar 2 3 3 5 4 8 1 6 Nesajamath
nesajamath.blogspot.com

Penjumlahan Dan Pengurangan Pecahan Ppt Download
slideplayer.info

Kunci Jawaban Matematika Kelas 5 Halaman 26 Kebalikan Suatu Bilangan Pecahan Youtube
www.youtube.com

Modul Bilangan Bulat Dan Pecahan
www.slideshare.net

Hitunglah Penjumlahan Pecahan Berikut Jawaban Soal Smp Kelas 7 8 9 Di Tvri Selasa 28 April 2020 Tribun Pontianak
pontianak.tribunnews.com

Tentukan Pecahan Yang Senilai Dengan 2 4 Urutkan Pecahan Berikut Dari Terkecil Sampai Terbesar Tribun Padang
padang.tribunnews.com

Pecahan Mudah A
www.scribd.com

Membandingkan Pecahan Halaman 77 80 Heart Id
heart.lezzat.id

Hitunglah Operasi Campuran Pecahan Pecahan Berikut Brainly Co Id
brainly.co.id

Matematika 120 Menit 40 Butir Pilihan Ganda 9 Diketahui Pecahan Pecahan Berikut 10 Hasildari Panjang Setiap Potongan F Sf Cm Putrimemotong Pdf Download Gratis
docplayer.info

Bilangan Pecahan Fokus Belajar Penyebut Dan Pembilangan Dari Setiap Pecahan Berikut Ini A 9 7 B X Y X Xzy 6 3 Dan 10 5 Adalah Pecahan Pecahan Senilai Mengubah Pdf Document
fdokumen.com

Kerjakan Perkalian Pecahan Berikut Halaman 20
kuncijawabans.web.app

Urutan Bilangan Pecahan Berikut Dari Yang Terbesar 1 1 2 11 16 3 32 6 8 Brainly Co Id
brainly.co.id

Page 187 Ayo Belajar Mtk 4
ebook.banyuwangikab.go.id

Mari Belajar Matematika Bersama Pak Sudarsono Ppt Download
slideplayer.info

Urutkan Pecahan Pecahan Berikut Mulai Dari Nilai Terkecil Pake Cara
id-eduanswers.com

Selesaikanlah Operasi Hitung Pecahan Berikut
idedukasi.id

Penaksiran Pecahan
id.scribd.com

Ubahlah Pecahan Berikut Menjadi Bentuk Persen Brainly Co Id
brainly.co.id

Operasi Hitung Pecahan Idschool
idschool.net

Bilangan Pecahan Matematika Kelas 7 Bse Kurikulum 2013 Revisi 2016 Lat 1 4 No9 Pecahan Ekuival Youtube
www.youtube.com

Mari Belajar Matematika Bersama Pak Sudarsono Ppt Download
slideplayer.info

Penjumlahan Dan Pengurangan Pecahan Ppt Download
slideplayer.info

Pembulatan Pecahan Murni Ke Satuan Terdekat 02 Youtube
www.youtube.com

Latihan Pertemuan 1 Docx
id.scribd.com

Kerjakan Perkalian Pecahan Berikut Brainly Co Id
brainly.co.id

Hitunglah Penjumlahan Pecahan Berikut
idedukasi.id

Perhatikan Pecahan Berikut Lihat Gambar Brainly Co Id
brainly.co.id

Tentukan Hasil Operasi Hitung Pecahan Berikut Jawaban Sd Kelas 4 6
www.kompas.com

Hitunglah Hasil Penjumlahan Pecahan Berikut 6 7 8 Brainly Co Id
brainly.co.id

Tentukan Penyelesaian Dari Pertidaksamaan Pecahan Berikut 2x 5 X 4 3 Mas Dayat
www.masdayat.net

To9mikduonnhom

Pada Daftar Pecahan Berikut Ini Yang Ketiganya Ekuivalen Adalah Youtube
www.youtube.com

Pilihlah Pecahan Berikut Sesuai Gambarnya Dengan Tanda Centang
id-eduanswers.com

Soal Matematika Pecahan Biasa Ke Campuran
belajarbarengsay.web.app

Mengubah Pecahan Menjadi Bentuk Persen
www.slideshare.net

Soal Ulangan Harian Matematika Kelas 5 Penjumlahan Dan Pengurangan Pecahan
kuncijawabans.web.app

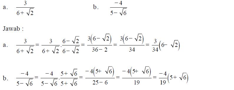
Rasionalkan Penyebut Dari Pecahan Berikut
id-eduanswers.com

Tentukan Penyelesaian Dari Pertidaksamaan Pecahan Berikut 2x 7x 6 X X 6 0 Mas Dayat
www.masdayat.net

Coba Letakkan Pecahan Yang Kamu Temukan Di Atas Pada Garis Bilangan Berikut Operator Sekolah
arif.rahmawan.web.id

Kunci Jawaban Buku Siswa Senang Belajar Matematika Kelas 5 Halaman 26 33 Di 2020 Matematika Kelas 5 Matematika Buku
id.pinterest.com

Cara Mengurutkan Pecahan Desimal Persen Beserta Contoh
rumusonline.com

Sisipkan 3 Pecahan Di Antara Pecahan 1 3 Dan 3 8 Sisipkan 3 Pecahan Diantara Pecahan 5 9 Dan 3 6 Youtube
www.youtube.com

Rasionalkan Penyebut Penyebut Pecahan Pecahan Berikut Ini Besok Kumpulnya
id-eduanswers.com

Urutkan Pecahan Berikut Dari Yang Terkecil Sampai Terbesar 2 3 3 5 4 8 1 6 Soal Tvri Kamis 4 Juni Halaman 3 Tribun Pontianak
pontianak.tribunnews.com

Bs Matematika Kelas 4 Datadikdasmen Com Pages 51 100 Flip Pdf Download Fliphtml5
fliphtml5.com

Soal Bilangan Pdf
dokumen.tips

Urutkan Pecahan Berikut Dari Yang Terkecil Sampai Yang Terbesar
www.kompas.com

Cara Merasionalkan Penyebut Pecahan Bentuk Akar Beserta Contoh Soalnya Lontang Lantung
klontanglantung.blogspot.com

Bilangan Desimal Dan Pecahan Desimal Mengubah Pecahan Ke Desimal
www.advernesia.com

Contoh Soal Pecahan Kelas 4 Dan Jawabannya Kumpulan Soal Pelajaran 8
soalujian-78.blogspot.com

Pdf Learning Fraction Using The Context Of Pipettes For Seventh Grade Deaf Mute Student Semantic Scholar
www.semanticscholar.org

Ayo Berlatih Urutkan Pecahan Berikut Dari Yang Terkecil Ke Yang Terbesar Operator Sekolah
arif.rahmawan.web.id

I Hate Math By Ambone105 On Deviantart
www.deviantart.com

Tentukan Himpunan Penyelesaian Pertidaksamaan Pecahan Berikut A 4x 3 5x 1 2 Mas Dayat
www.masdayat.net

Tentukan Penyelesaian Dari Pertidaksamaan Pecahan Berikut 3 2x 1 5 3x 2 Mas Dayat
www.masdayat.net

Tentukan Hasil Operasi Hitung Pecahan Berikut Jawaban Sd Kelas 4 6
www.kompas.com

Rangkuman Dan Jawaban Soal Khan Academy Mengenal Pecahan Belajar Dari Rumah Tvri 4 Juni 2020 Semua Halaman Kids
kids.grid.id

Penjumlahan Dan Pengurangan Pecahan Ppt Download
slideplayer.info

Urutkan Pecahan Berikut Dari Yang Terkecil Sampai Yang Terbesar
www.kompas.com

Urutkan Bilangan Pecahan Berikut 1 2 11 16 3 32 6 8 Youtube
m.youtube.com

Pecahan 1 Latihan Soal
id.scribd.com

Tentukan Pecahan Yang Senialai Dengan Docx Document
fdokumen.com

Ubahlah Pecahan Berikut Ke Bentuk Persen
idedukasi.id

10 Urutkan Pecahan Pecahan Berikut Dari Yang Terbesar A 3 6 2 6 5 6 B 3 4 7 8 5 Course Hero
www.coursehero.com

Jawaban Soal Tvri Smp Hari Ini 4 Agustus 2020 Urutkan Pecahan Berikut Dari Yang Terbesar Ke Yang Terkecil Inews
inews.politik.us

Bahan Ajar Matematika Kelas X Semester 1 Sekolah Sma N 5 Ska Ppt Download
slideplayer.info

Ubahlah Pecahan Berikut Menjadi Bentuk Pecahan Campuran A 31 4 B 26 3 C 24 7 D 22 5 E 27 6 Brainly Co Id
brainly.co.id

Kunci Jawaban Matematika Kelas 4 Halaman 39 40 Bse Matematika Kelas Di 2020 Matematika Kelas 4 Matematika Pengikut
id.pinterest.com

Bandingkan Pecahan Pecahan Berikut Brainly Co Id
brainly.co.id

Cara Hitung Pecahan Pada Soal Un Sd Kumpulan Rumus
rumusonline.com

Jawaban Soal Materi Pecahan Smp Kelas 7 8 9 Belajar Dari Rumah Di Tvri Hari Ini 4 Agustus 2020 Tribunnewswiki Com Mobile
www.tribunnewswiki.com

Cara Mengubah Pecahan Ke Desimal Dan Sebaliknya
rumusonline.com

Urutkan Pecahan Berikut Dari Yang Terkecil Sampai Terbesar 2 3 3 5 4 8 1 6 Soal Tvri Kamis 4 Juni Tribun Pontianak
pontianak.tribunnews.com

Tentukan Pecahan Yang Senilai Dengan 2 4 Urutkan Pecahan Berikut Dari Terkecil Sampai Terbesar Tribun Padang
padang.tribunnews.com

Tugas Matematika Kelas 6 Pecahan
dokumen.tips

Ayo Berlatih Ubahlah Pecahan Berikut Ke Dalam Pecahan Campuran Operator Sekolah
arif.rahmawan.web.id

Pdf Learning Fraction Using The Context Of Pipettes For Seventh Grade Deaf Mute Student Semantic Scholar
www.semanticscholar.org

Membandingkan Pecahan Pecahan Dengan Menggunakan Tanda Sama Dengan Lebih Dri Atau Kurang Dari Youtube
www.youtube.com

Kunci Jawaban Buku Tematik Tema 2 Kelas 6 Sd Hal 9 10 11 14 15 Subtema 1 Rukun Dalam Perdebatan Halaman All Tribun Sumsel
sumsel.tribunnews.com

Merasionalkan Beberapa Pecahan Berpangkat Youtube
www.youtube.com

Hitunglah Penjumlahan Pecahan Berikut 1 1 2 1 2 3 1 3 4 Nesajamath
nesajamath.blogspot.com

Materi Pecahan Matematika Kelas 4 Sd Pdf
id.scribd.com

Ppt Bahan Ajar Matematika Powerpoint Presentation Free Download Id 3935023
www.slideserve.com

Modul Bilangan Bulat Dan Pecahan
www.slideshare.net

Kelas Vii Matematika Bs Semester 1 Isi Database Dadang Jsn Pages 51 100 Flip Pdf Download Fliphtml5
fliphtml5.com

Tentukan Hasil Penjumlahan Pecahan Berikut Dalam Bentuk Paling Sederhana Brainly Co Id
brainly.co.id

Hitunglah Penjumlahan Pecahan Berikut 1 1x2 Pentium Sintesi
pentiumsintesi.blogspot.com

Operasi Hitung Pecahan Idschool
idschool.net

Kunci Jawaban Urutkan Bilangan Pecahan Berikut Dari Yang Terbesar A 1 2 11 16 3 32 6 8 Rofa Education Centre
rofaeducationcentre.blogspot.com

Tentukan Hasil Operasi Hitung Pecahan Berikut Jawaban Sd Kelas 4 6
www.kompas.com

Bs Matematika Kelas 4 Datadikdasmen Com Pages 51 100 Flip Pdf Download Fliphtml5
fliphtml5.com

close