Menjawab Soal Dengan MUdah

Perpangkatan Pecahan Bentuk Aljabar


Tutorial Cara Menyederhanakan Operasi Bentuk Aljabar Penjumlahan Dan Pengurangan Youtube
www.youtube.com

Ruang Belajar Siswa Kelas 1 Contoh Soal Menyederhanakan Bentuk Aljabar Kelas 7
contohpidatodansoallengkap10.blogspot.com

Perpangkatan Pecahan Bentuk Aljabar M63 Jawab Pakai Cara Penyelesaian Yang Lengkap Memakai Brainly Co Id
brainly.co.id

Aljabar Tari Website
sutarisangaji.wordpress.com

Bilangan Pangkat Pecahan Pengertian Rumus Sifat Operasi Hitung Dan Contoh Soal Bilangan Pangkat Pecahan Lengkap Pelajaran Sekolah Online
www.pelajaran.co.id

Pembagian Aljabar Dasar Dan Pembagian Aljabar Berpangkat Advernesia
www.advernesia.com

Cara Menghitung Perpangkatan Pecahan Aljabar
matematikaakuntansi.blogspot.com

Aljabar Ppt Download
slideplayer.info

Operasi Hitung Pecahan Aljabar Dan Contoh Soalnya
rumusrumus.com

Operasi Hitung Pecahan Aljabar Dan Contoh Soalnya
rumusrumus.com

Operasi Hitung Pecahan Aljabar Dan Contoh Soalnya
rumusrumus.com

Rpp Operasi Pecahan Bentuk Aljabar1
www.slideshare.net

Rpp Operasi Pecahan Bentuk Aljabar1
www.slideshare.net

Operasi Hitung Pecahan Bentuk Aljabar Ppt Download
slideplayer.info

Materi Aljabar Kelas Vii
www.slideshare.net

Cara Menyederhanakan Pecahan Bentuk Aljabar Berpendidikan Com
www.berpendidikan.com

B Pemfaktoran Bentuk Aljabar
studylibid.com

Operasi Pecahan Aljabar Penjumlahan Pengurangan Perkalian Pembagian Perpangkatan Blog Mtk Smp
math4junior.blogspot.com

Perpangakatan Bentuk Aljabar Smp Kelas Viii
www.dosenmatematika.co.id

Aljabar Unsur Operasi Hitung Pecahan Bentuk Ajabar
www.yuksinau.id

3 Operasi Hitung Bentuk Aljabar Pdf Free Download
docplayer.info

Operasi Hitung Pecahan Bentuk Aljabar Ppt Download
slideplayer.info

Uraikan Hasil Perpangkatan Pecahan Bentuk Aljabar Berikut Brainly Co Id
brainly.co.id

Bentuk Eksponen Dengan Pangkat Pecahan Materi Lengkap Matematika
www.materimatematika.com

Operasi Hitung Pecahan Aljabar Dan Contoh Soalnya
www.utakatikotak.com

Aljabar Dan Penerapannya Ppt Download
slideplayer.info

Cara Mengerjakan Aljabar Pecahan Guru Ilmu Sosial
www.ilmusosial.id

Rpp Operasi Pecahan Bentuk Aljabar1
www.slideshare.net

Materi Matematika Smp Kelas Viii Perpangkatan Dan Penyederhanaan Pecahan Bentuk Aljabar Duniamatematika Com
duniamatematika.com

Kelas 8 Mpemfaktorkan
www.slideshare.net

3 Operasi Hitung Bentuk Aljabar
studylibid.com

Operasi Aljabar Penjumlahan Pengurangan Perkalian Pembagian Perpangkatan
pendidikanmu.com

Pecahan Dalam Bentuk Aljabar
id.scribd.com

Bab 4 Bentuk Aljabar
www.slideshare.net

Operasi Hitung Pecahan Aljabar Dan Contoh Soalnya
rumusrumus.com

Operasi Hitung Pecahan Aljabar Dan Contoh Soalnya
rumusrumus.com

Lkpd Pertemuan 4
id.scribd.com

Oprasi Bentuk Aljabar Matematika Judul Situs
netphising.wordpress.com

Berbasis Pendekatan Kontekstual Smp Mt S Kelas Sekolah Pdf Download Gratis
docplayer.info

Operasi Hitung Pecahan Bentuk Aljabar Ppt Download
slideplayer.info

Operasi Hitung Pecahan Bentuk Aljabar Ppt Download
slideplayer.info

Operasi Hitung Pecahan Aljabar Dan Contoh Soalnya
www.utakatikotak.com

4 Tentukan Hasil Bagi Bentuk Pecahan Aljabar Berikut5 Selesaikan Operasi Perpangkatan Pecahan Brainly Co Id
brainly.co.id

Nuradika Pengenalan Bentuk Dan Operasi Hitung Aljabar
dika-utama.blogspot.com

Aljabar Ppt Download
slideplayer.info

Operasi Hitung Pecahan Aljabar Dan Contoh Soalnya
rumusrumus.com

Rpp Operasi Pecahan Bentuk Aljabar1
www.slideshare.net

Operasi Hitung Pecahan Aljabar Mbloo Blog
mayangsari691.wordpress.com

Operasi Hitung Pecahan Bentuk Aljabar Ppt Download
slideplayer.info

Pembagian Aljabar Dasar Dan Pembagian Aljabar Berpangkat Advernesia
www.advernesia.com

Cara Mengerjakan Aljabar Kelas 7 Guru Ilmu Sosial
www.ilmusosial.id

Operasi Hitung Pecahan Bentuk Aljabar Ppt Download
slideplayer.info

Contoh Soal Menyederhanakan Pecahan Aljabar
mafia.mafiaol.com

Perkalian Dan Pembagian Pecahan Aljabar
mafia.mafiaol.com

Materi Aljabar Kelas Vii
www.slideshare.net

3 Operasi Hitung Bentuk Aljabar Pdf Free Download
docplayer.info

Doc Matematika Asmi Purnamasari Academia Edu
www.academia.edu

1 Menyederhanakan Pecahan Bentuk Aljabar
studylibid.com

Pecahan Bentuk Aljabar
dokumen.tips

Kelas01 Matematika Konsep Dan Aplikasinya Dewi Tri By S Van Selagan Issuu
issuu.com

Operasi Hitung Pecahan Aljabar Mbloo Blog
mayangsari691.wordpress.com

Bentuk Aljabar Yuksinau
www.yuksinau.id

Mengenal Aljabar Lebih Dalam Rumus Matematika
rumus-matematika.com

Materi Aljabar Kelas Vii
www.slideshare.net

Uraikan Perpangkatan Pecahan Bentuk Aljabar Berikut A M 2 A B Pangkat 3 B 2xpangkat2 3x X 5 Brainly Co Id
brainly.co.id

Ahmad Shulhany
www.scribd.com

Operasi Hitung Pecahan Aljabar Dan Contoh Soalnya
rumusrumus.com

Aljabar Unsur Operasi Hitung Pecahan Bentuk Ajabar
www.yuksinau.id

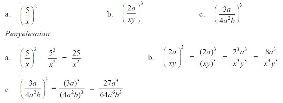
Perpangkatan Pecahan Bentuk Aljabar
www.dosenmatematika.co.id

Rencana Pelaksanaan Pembelajaran Kd 1
id.scribd.com

Menyederhanakan Operasi Aljabar Perpangkatan Bse Matematika Kelas 9 K2013 Lat 1 2 No 03 Abcd Youtube
www.youtube.com

Cara Menyederhanakan Pecahan Bentuk Aljabar Berpendidikan Com
www.berpendidikan.com

Mtk Smp Kelompok 3 Bentuk Aljabar Docx Document
fdokumen.com

Operasi Hitung Pecahan Bentuk Aljabar Ppt Download
slideplayer.info

Tentukan Hasil Perpangkatan Pecahan Bentuk Aljabar Berikut Ini Lihat Di Foto Brainly Co Id
brainly.co.id

Operasi Bilangan Berpangkat Pada Belahan Bentuk Aljabar Dunia Pendidikan
duniapendidikand.blogspot.com

Operasi Pecahan Aljabar Penjumlahan Pengurangan Perkalian Pembagian Perpangkatan Blog Mtk Smp
math4junior.blogspot.com

Mengenal Aljabar Lebih Dalam Rumus Matematika
rumus-matematika.com

Bagaimana Menyelesaiakan Operasi Pecahan Bentuk Aljabar Rumus Matematika
rumus-matematika.com

Cara Mengerjakan Bentuk Sederhana Aljabar Guru Ilmu Sosial
www.ilmusosial.id

Operasi Pecahan Aljabar Penjumlahan Pengurangan Perkalian Pembagian Perpangkatan Blog Mtk Smp
math4junior.blogspot.com

Tutorial Menyederhanakan Pangkat Tak Sebenarnya Youtube
www.youtube.com

Aljabar Unsur Operasi Hitung Pecahan Bentuk Ajabar
www.yuksinau.id

Rpp Operasi Pecahan Bentuk Aljabar1
www.slideshare.net

Penjumlahan Dan Pengurangan Pecahan Aljabar
mafia.mafiaol.com

Materi Aljabar Kelas Vii Pertemuan Ketiga Smp Matematika Academia Edu
www.academia.edu

Materi Aljabar Kelas Vii
www.slideshare.net

Cara Mudah Dalam Pembagian Pecahan Bentuk Aljabar
www.dosenmatematika.co.id

Rpp Operasi Pecahan Bentuk Aljabar1
www.slideshare.net

Operasi Pecahan Aljabar Penjumlahan Pengurangan Perkalian Pembagian Perpangkatan Blog Mtk Smp
math4junior.blogspot.com

Rumus Matematika Aljabar Smp Kelas 8
rumushitung.com

Penjumlahan Dan Pengurangan Pecahan Bentuk Aljabar Seputar Bentuk
seputarbentuk.blogspot.com

Y Cdvxhau3fl M

Aljabar Unsur Operasi Hitung Pecahan Bentuk Ajabar
www.yuksinau.id

Kelas 8 Mpemfaktorkan
www.slideshare.net

Rpp Mtk 8a
id.scribd.com

Rpp Operasi Pecahan Bentuk Aljabar1
www.slideshare.net

Mtk Smp Kelompok 3 Bentuk Aljabar
id.scribd.com

3 Operasi Hitung Bentuk Aljabar Pdf Free Download
docplayer.info

Bab 4 Bentuk Aljabar
www.slideshare.net

close