Menjawab Soal Dengan MUdah

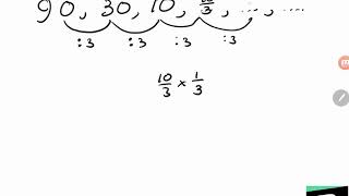
Pola Barisan 90 30 10


90 30 10 Lanjutkan Pola Bilangan Tsb Brainly Co Id
brainly.co.id

Best Forex Broker Regulated Forex Trading Indicies More Vantage Fx
app.vantagefx.com

Cara Cepat Belajar Pola Bilangan Aritmatika Geometri 30 Menit Part 2 Youtube
www.youtube.com

Modul Perfect Score Dan Pecutan Kimia Serta Xa Plus Sbp 2014 With Skema Pages 101 150 Flip Pdf Download Fliphtml5
fliphtml5.com

90 30 10 Youtube
m.youtube.com

A Typology Of Community Forestry Approaches In Indonesia Implications For External Support To Forest Communities
bioone.org

Thesis Hadi About Rme In Indonesia Teching Geometri
www.slideshare.net

Pola Bilangan 90 30 10 Brainly Co Id
brainly.co.id

Kelas 08 Smp Matematika S1 Siswa 2017 By P E Thea Issuu
issuu.com

Https Journals Iium Edu My Ejournal Index Php Iiumej Issue Download 66 Vol 2021 20no 201 20january 202020 20printable

Usmstan2016tpa997 Benar Pdf
id.scribd.com

Descriptive Statistics For Grades 1 4 1 St Grade 2 Nd Grade 3 Rd Grade Download Table
www.researchgate.net

Pdf Ikbar Measuring Adversity Quotient Aq For Polytechnic Students Using Rasch Model
www.researchgate.net

2

90 30 10 Youtube
m.youtube.com

90 30 10 Tolon Dijawab Pakai Cara Yah Brainly Co Id
brainly.co.id

Cases Of State Transformation In Contemporary Asia Part Ii Asia After The Developmental State
www.cambridge.org

Descriptive Statistics For Grades 1 4 1 St Grade 2 Nd Grade 3 Rd Grade Download Table
www.researchgate.net

Pdf Maximum Power Point Tracking Controller For Pv Application Trends And Challenges Azah Mohamed Academia Edu
www.academia.edu

1 Lengkapilah Pola Berikut A 5 4 9 8 13 12 17 B A K C E O G C 90 30 10 Brainly Co Id
brainly.co.id

Thesis Hadi About Rme In Indonesia Teching Geometri
www.slideshare.net

How Will Gdpr Rules Affect Hotels A Quick Checklist Trilyo Blog
www.trilyo.com

2


ushakwon.or.kr

Tolong Bantu Aku Dong Soalnya Mau Dikumpluin Hari Terakhir Jam 23 00 Pleaseee Mohon Dibantu Ya Brainly Co Id
brainly.co.id

Tentukan Geometri Dari 90 30 10 Ar A Un U6 S6 Brainly Co Id
brainly.co.id

Proceeding Universitas Serambi Mekkah
studylib.net

Https Core Ac Uk Download Pdf 297840493 Pdf

Jawaban Pg Uji Kompetensi Bab 1 Matematika Kelas 8 Smp Halaman 34 Pola Bilangan Contoh Materi Pendidikan
contohmateripendidikan.blogspot.com

Https Wedocs Unep Org Bitstream Handle 20 500 11822 22696 Asean Parks Reserves Pdf Sequence 1 Isallowed Y

1 Pola Barisan Mathematics Quiz Quizizz
quizizz.com

Https Wedocs Unep Org Bitstream Handle 20 500 11822 22696 Asean Parks Reserves Pdf Sequence 1 Isallowed Y

Jawaban Pg Uji Kompetensi Bab 1 Matematika Kelas 8 Smp Halaman 34 Pola Bilangan Contoh Materi Pendidikan
contohmateripendidikan.blogspot.com

Penyusun Sylvi Karlia S Pd M Si Soal Latihan Di Ladang Terdapat 12 Ekor Hewan Terdiri Atas Ayam Pdf Document
vdokumen.com

1 Lengkapilah Pola Berikut A 5 4 9 8 13 12 17 B A K C E O G C 90 30 10 Brainly Co Id
brainly.co.id

Jawaban Buku Matematika Kelas 8 Uji Kompetensi 1 Hal 34 Pola Bilangan Pentium Sintesi
pentiumsintesi.blogspot.com

Help Kak Kls 8 Matematika Brainly Co Id
brainly.co.id

2018 Malaysian General Election Wikipedia
en.wikipedia.org

Kelas 8 Pola Bilangan Uji Kompetensi 1 Pilihan Ganda Youtube
m.youtube.com

2

Https Wedocs Unep Org Bitstream Handle 20 500 11822 22696 Asean Parks Reserves Pdf Sequence 1 Isallowed Y

Items Where Year Is 2007 Kent Academic Repository
kar.kent.ac.uk

Cases Of State Transformation In Contemporary Asia Part Ii Asia After The Developmental State
www.cambridge.org

Kelas 8 Ayo Kita Berlatih 1 4 No 1 2 3 4 5 Bab 1 Pola Bilangan Barisan Matematika Kelas 8 Semester 1 Youtube
m.youtube.com

Art Asia Pacific Almanac Dec 2018 2 Flip Book Pages 1 50 Pubhtml5
pubhtml5.com

Pdf Observing And Understanding The Southeast Asian Aerosol System By Remote Sensing An Initial Review And Analysis For The Seven Southeast Asian Studies 7seas Program
www.researchgate.net

Https Content Sciendo Com Downloadpdf Title 570553

Cases Of State Transformation In Contemporary Asia Part Ii Asia After The Developmental State
www.cambridge.org

Soal Matematika Kelas 8
id.scribd.com

Cases Of State Transformation In Contemporary Asia Part Ii Asia After The Developmental State
www.cambridge.org

Smk Shah Alam Photos Facebook
www.facebook.com

Suku Ke 30 Dari Barisan 6 12 20 30 Adalah Brainly Co Id
brainly.co.id

2

Descriptive Statistics For Grades 1 4 1 St Grade 2 Nd Grade 3 Rd Grade Download Table
www.researchgate.net

Hellenistic Economies Pdf Free Download
epdf.pub

Pdf Prevalence And Risk Factors Of Strongyloides Stercoralis Infection Among Orang Asli Schoolchildren New Insights Into The Epidemiology Transmission And Diagnosis Of Strongyloidiasis In Malaysia
www.researchgate.net

Barisan Recaman Wikipedia Bahasa Indonesia Ensiklopedia Bebas
id.wikipedia.org

Proceeding Universitas Serambi Mekkah
studylib.net

Going Places February 2019 Flip Book Pages 51 84 Pubhtml5
pubhtml5.com

Cases Of State Transformation In Contemporary Asia Part Ii Asia After The Developmental State
www.cambridge.org

Penyusun Sylvi Karlia S Pd M Si Soal Latihan Di Ladang Terdapat 12 Ekor Hewan Terdiri Atas Ayam Pdf Document
fdokumen.com

Thesis Hadi About Rme In Indonesia Teching Geometri
www.slideshare.net

2

Kelas 8 Pola Bilangan Ayo Kita Berlatih 1 4 Youtube
www.youtube.com

Tentukan 3 Bilangan Selanjutnya Dari Pola Barisan Bilangan Berikut A 1 3 5 7 Youtube
www.youtube.com

Matematika Smp Mts Kelas Viii Semester 1 Kurikulum 2013 Edisi Revisi 2017
epaper.myedisi.com

Https Journals Iium Edu My Ejournal Index Php Iiumej Issue Download 66 Vol 2021 20no 201 20january 202020 20printable

Kelas 08 Smp Matematika S1 Siswa 2017
www.slideshare.net

Http Www Cbsg Org Sites Cbsg Org Files Documents Javan 20leopard 20phva 20provisional 20report May2020 Pdf

Pola Bilangan Matematika Kelas 8 Bse Kurikulum 2013 Revisi 2017 Uk 5 1 No 08 Deret Angka Youtube
www.youtube.com

Http Www Cbsg Org Sites Cbsg Org Files Documents Javan 20leopard 20phva 20provisional 20report May2020 Pdf

Members Of The Dewan Rakyat 13th Malaysian Parliament Wikipedia
en.wikipedia.org

Matematika 8 1 Converted
id.scribd.com

Pola Bilangan Matematika Kelas 8 Bse Kurikulum 2013 Revisi 2017 Uk 5 1 No 08 Deret Angka Youtube
www.youtube.com

Financing Africa S Infrastructure And Agricultural Development Inclusive Growth For Economic Transformation Ibrahim Mayaki
ibrahimmayaki.com

Growth Inhibition Of Stomach Cancer Cell Line Treated With Ficus Carica Download Scientific Diagram
www.researchgate.net

90 30 10 Lanjutkan Pola Bilangan Tsb Brainly Co Id
brainly.co.id

2

Modul Perfect Score Dan Pecutan Kimia Serta Xa Plus Sbp 2014 With Skema Pages 101 150 Flip Pdf Download Fliphtml5
fliphtml5.com


ushakwon.or.kr

Https Goodgrowthpartnership Com Wp Content Uploads Tna Eng Final 12feb20191 Pdf

Pdf Efficacy Of Calliandra Calliandra Calothyrsus Leaf Extract On Haemonchus Contortus Mortality In Vitro
www.researchgate.net

Akal Akalan The1uploader
the1uploader.wordpress.com

8 Tiga Bilangan Berikutnya Dari Pola Bilangan 90 30 10 Adalah Tolong Jawab Ya Brainly Co Id
brainly.co.id

Pola Bilangan 90 30 10 Brainly Co Id
brainly.co.id

2

Uji Kompetensi 1 No 13 14 15 16 17 18 19 20 Kelas 8 Smp Mts Semester 1 Barisan Bse Mtk Halaman 34 Youtube
www.youtube.com

Thesis Hadi About Rme In Indonesia Teching Geometri
www.slideshare.net

1 3 4 7 9 13 16 21 Youtube
www.youtube.com

The Latest And Most Impactful 28227 Pdfs And Publications In Programming In Matlab
www.researchgate.net

Jawaban Pg Uji Kompetensi Bab 1 Matematika Kelas 8 Smp Halaman 34 Pola Bilangan Contoh Materi Pendidikan
contohmateripendidikan.blogspot.com

Https Wedocs Unep Org Bitstream Handle 20 500 11822 22696 Asean Parks Reserves Pdf Sequence 1 Isallowed Y

Diketahui Barisan Bilangan 30 42 56 72 90 Suku Ke 14 Dari Barisan Tersebut Adalah Brainly Co Id
brainly.co.id

Repeat By You2repeat
wwqw.you2repeat.com

Proceedings Of The Art And Design International Conference Andic 2016
link.springer.com

What Is The Next Number In The Sequence 2 10 30 68 130 Quora
www.quora.com

Tolong Bantuin Ymtk Pola Bilangan Brainly Co Id
brainly.co.id


ushakwon.or.kr

Buku Keterangan Peta Satuan Lahan Dan Tanah Lembar Sibolga
www.yumpu.com

Indonesia 2006 Commission On Legal Pluralism
www.yumpu.com

close