Menjawab Soal Dengan MUdah

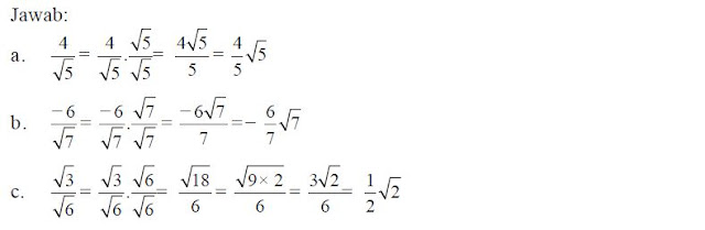
Rasional Kan Penyebut Pecahan Pecahan Berikut Ini


Merasionalkan Penyebut Pecahan Bentuk Akar
maths.id

Smk Negeri 4 Surakarta Rsbi Ppt Download
slideplayer.info

Merasionalkan Penyebut Pecahan Bentuk Akar
id.scribd.com

Merasionalkan Penyebut Syaiflash Com
www.syaiflash.com

Rasionalkan Penyebut Pecahan Pecahan Berikut Inijawab Sekarang Yah Besok Dikumpulin Brainly Co Id
brainly.co.id

Bab 1 Matematika Wajib By Abdullah Sman 1 Genteng Issuu
issuu.com

Kelas X Bab 1 Sma
www.slideshare.net

Cara Cepat Merasionalkan Penyebut
www.dosenmatematika.co.id

Soal Bahas Bilangan Berpangkat Btk Akar Docx Daftar Isi 1 Bilangan Bulat Dengan Eksponen Bilangan Bulat Positif 2 Bilangan Bulat Dengan Eksponen Course Hero
www.coursehero.com

Rasionalkan Penyebut Pecahan Pecahan Berikut Ini Brainly Co Id
brainly.co.id

Matematika Wajib Sem 1 Kelas X By Abdullah Sman 1 Genteng Issuu
issuu.com

Rasionalkan Penyebut Pecahan Pecahan Berikut 1 1 6 2 2 6 12 3 Brainly Co Id
brainly.co.id

Rasionalkan Penyebut Pecahan Pecahan Berikut 5 Per Akar 15 Akar 6 Per Akar 24 2akar 2 Per Akar Brainly Co Id
brainly.co.id

Matematika Kelas 9 Bilangan Bentuk Akar Sifat Sifat Dan Cara Merasionalkannya
blog.ruangguru.com

Cara Merasionalkan Penyebut Pecahan Bentuk Akar Beserta Contoh Soal Dan Pembahasannya Blog Matematika
blogmipa-matematika.blogspot.com

Rasionalkan Penyebut Penyebut Pecahan Pecahan Berikut Ini Besok Kumpulnya Brainly Co Id
brainly.co.id

Modul A Guru Pembelajar Pdf Flip Book Pages 151 200 Pubhtml5
pubhtml5.com

Merasionalkan Penyebut Pecahan Bentuk Akar
maths.id

Tutorial Cara Mudah Merasionalkan Penyebut Pada Pecahan Bentuk Akar Bagian 2 Youtube
www.youtube.com

Merasionalkan Penyebut Akar Dan Pangkat Pecahan Cara Mudah Belajar Pangkat Eksponen Unacademy
unacademy.com

Rasionalkan Penyebut Pecahan Pecahan Berikut Ini
id-eduanswers.com

Rasionalkan Penyebut Pecahan Pecahan Berikut Ini Brainly Co Id
brainly.co.id

Merasionalkan Penyebut Akar Bse Matematika Kelas 10 Uji Kompetensi 1 2 No 02 Youtube
m.youtube.com

Rasionalkan Penyebut Pecahan Pecahan Berikut A Akar 6 Per Akar 12b 3 Per 3 Akar 3c 2 Per 5 Brainly Co Id
brainly.co.id

Cara Merasionalkan Penyebut Pecahan Bentuk Akar Beserta Contoh Soalnya Lontang Lantung
klontanglantung.blogspot.com

Merasionalkan Penyebut Pecahan Bentuk Akar
maths.id

Doc Rpp Kd 1 1 Viany Jenudin Academia Edu
www.academia.edu

Rasional Kan Penyebut Pecahan Pecahan Berikut Ini
idedukasi.id

Rasionalkan Penyebut Pecahan Pecahan Berikut Brainly Co Id
brainly.co.id

Doc Eksponen 1 Agil Maula Academia Edu
www.academia.edu

Rasionalkan Penyebut Pecahan Pecahan Berikut Ini Dijawab Pake Jalan Yaapliss Besok D Kumpulin Brainly Co Id
brainly.co.id

09 Theories Of Math Education Pages 51 100 Text Version Fliphtml5
fliphtml5.com

Merasionalkan Penyebut Pecahan Dilengkapi Soal Latihan Dan Pembahasan Untuk Matematika Smp Kelas Ix Kurikulum 2013 Defantri Com
www.defantri.com

1 Rasionalkan Penyebut Pecahan Pecahan Berikut Kemudian Sederhakanlah A 4 2 2 B 3 3 5 Brainly Co Id
brainly.co.id

I Hate Math By Ambone105 On Deviantart
www.deviantart.com

Tutorial Cara Merasionalkan Penyebut Pada Pecahan Bentuk Akar Bagian 3 Youtube
www.youtube.com

Kelas X Bab 1
www.slideshare.net

04 Merasionalkan Penyebut Suatu Pecahan 3 Soal 12w216 Bentuk Sederhana Dari Adalah 6 1 2 3 A Pdf Document
fdokumen.com

09 Theories Of Math Education Pages 51 100 Text Version Fliphtml5
fliphtml5.com

Merasionalkan Beberapa Pecahan Berpangkat Youtube
www.youtube.com

Merasionalkan Penyebut Pecahan Bentuk Akar
maths.id

Pembahasan Soal Matematika Kelas X Merasionalkan Penyebut Suatu Pecahan Uji Kompetensi 1 6
horasmatematika.blogspot.com

Matematika Kelas 9 Bilangan Bentuk Akar Sifat Sifat Dan Cara Merasionalkannya
blog.ruangguru.com

Cara Merasionalkan Penyebut Kepingan Bentuk Akar Beserta Pola Soalnya Atap Ilmu
atapilmubelajar.blogspot.com

Ayo Merasionalkan Penyebut Pecahan Bentuk Akar Docx
id.scribd.com

Kelas X Bab 1 Sma
www.slideshare.net

Bentuk Sederhana Dari Akar Matematika Dan Cara Mendapatkannya
www.kelaspintar.id

Bentuk Sederhana Dari Akar Matematika Dan Cara Mendapatkannya
saintif.com

Aturan Pangkat Akar Dan Logaritma Ppt Download
slideplayer.info

Modul 3 Merasionalkan Penyebut Pecahan Bentuk Akar 1 Antara Sma N 1 Karanggede Modul 3 Merasionalkan
dokumen.tips

Cara Mengerjakan Bentuk Sederhana Dari Akar Guru Ilmu Sosial
www.ilmusosial.id

6 Lkpd Kd 3 1 Pertemuan 6 Merasionalkan Penyebut Bentuk Akar
id.scribd.com

Rpp Merasionalkan Pecahan Bentuk Akar
id.scribd.com

Kelas X Bab 1 Sma
www.slideshare.net

Rasionalkan Penyebut Pecahan Pecahan Berikut Ini Hanya No 1 2 4 7 9 13 17 21 Brainly Co Id
brainly.co.id

Rasionalkan Penyebut Pecahan Pecahan Berikut A 16 Akar 100 1 Akar 32 B 2 Akar 5 Akar 3 Brainly Co Id
brainly.co.id

Rudi Azis Permana S Pd Merasionalkan Penyebut Pada Pecahan Bentuk Akar
rudimath86.blogspot.com

Kelas X Bab 1 Sma
www.slideshare.net

Noer Zilla Ayu Widiyasari Pmtk 6e Ppt Download
slideplayer.info

Apakah Kamu Tahu Apa Itu Bilangan Rasional Dan Irasional Kelas Pintar
www.kelaspintar.id

Bahan Ajar Matematika Kelas X Semester 1 Sekolah Sma N 5 Ska Ppt Download
slideplayer.info

Cara Menyelesaikan Pertidaksamaan Rasional Atau Pertidaksamaan Pecahan Matematika Wajib Kelas X M4th Lab
www.m4th-lab.net

Merasionalkan Penyebut Pecahan Bentuk Akar
maths.id

Rasionalkan Penyebut Pecahan Pecahan Berikut Pakai Cara Nya Juga Ya Kak Brainly Co Id
brainly.co.id

Contoh Soal Merasionalkan Penyebut Dan Pembahasan Soalfismat Com
soalfismat.com

Matematika Kelas X Merasionalkan Penyebut Bentuk Akar
matematikauntukkelasx.blogspot.com

Bilangan Pecahan Fokus Belajar Penyebut Dan Pembilangan Dari Setiap Pecahan Berikut Ini A 9 7 B X Y X Xzy 6 3 Dan 10 5 Adalah Pecahan Pecahan Senilai Mengubah Pdf Document
fdokumen.com

Bahan Ajar Matematika Kelas X Semester 1 Sekolah Sma N 5 Ska Ppt Download
slideplayer.info

Rasionalkan Penyebut Pecahan Pecahan Berikut Ini
id-eduanswers.com

Rasionalkan Penyebut Pecahan Pecahan Berikut Tolong Ya Besok Dikumpulin Soalnya
idedukasi.id

Cara Merasionalkan Penyebut Pecahan Bentuk Akar Contoh Soal Dan Pembahasan
mathinsciences.blogspot.com

Soal Merasionalkan Penyebut Pecahan
maths.id

Tutorial Cara Merasionalkan Penyebut Pada Pecahan Bentuk Akar Bagian 3 Youtube
www.youtube.com

Rasionalkan Penyebut Pecahan Pecahan Berikut A 8 6 Per 4 12 B 7 Per 11 7 C Brainly Co Id
brainly.co.id

Merasionalkan Penyebut Pecahan Bentuk Akar Docx Google Drive
docs.google.com

Bentuk Akar 6 Merasionalkan Penyebut Youtube
www.youtube.com

Soal Merasionalkan Penyebut Pecahan
maths.id

Kelas X Bab 1
www.slideshare.net

Merasionalkan Pecahan Yang Penyebutnya Bentuk Akar Ilmu Hitung
ilmuhitung.com

56 Merasionalkan Penyebut Pecahan Bentuk Akar
id.scribd.com

6 Matematika Ardellrafi Apple
ardellapple.school.blog

Merasionalkan Penyebut Pecahan B 4 Akar 2 Per 4 Akar 2 Youtube
www.youtube.com

Rasionalkan Penyebut Pecahan Pecahan Berikut Ini 1 A 5 5 B 2 20 C 2a 3 A Brainly Co Id
brainly.co.id

Tutorial Cara Mudah Merasionalkan Penyebut Pada Pecahan Bentuk Akar Bagian 1 Youtube
m.youtube.com

Ppt Bahan Ajar Matematika Powerpoint Presentation Free Download Id 6751025
www.slideserve.com

Rasionalkan Penyebut Pecahan Pecahan Berikut No Yang Di Isinya No 24 29sama Caranya Ya Dan Cepat Brainly Co Id
brainly.co.id

Merasionalkan Penyebut Pecahan Bentuk Akar
maths.id

Bentuk Sederhana 5 Akar 2 Per Akar 3 Akar 5 Seputar Bentuk
seputarbentuk.blogspot.com

Kelas X Bab 1
www.slideshare.net

Rasionalkan Penyebut Pecahan Pecahan Berikut Ini Nomor 20 22 24
id-eduanswers.com

Cara Merasionalkan Penyebut Pecahan Bentuk Akar Beserta Contoh Soalnya Berpendidikan Com
www.berpendidikan.com

Rasionalkan Penyebut Pecahan Pecahan Berikut Jwb Pakai Caranyaa Ps Yg Dilingkari Sja Brainly Co Id
brainly.co.id

Cara Merasionalkan Pecahan Bentuk Akar
mafia.mafiaol.com

Cara Merasionalkan Bentuk Akar Beserta Contoh Soalnya Materi Belajar
www.materi4belajar.com

Cara Merasionalkan Penyebut Pecahan 14 Langkah Dengan Gambar
id.wikihow.com

Oleh Fattaku Rohman S Pd Ppt Download
slideplayer.info

Rasionalkan Penyebut Pecahan Pecahan Berikut Jawab Dengan Benar Brainly Co Id
brainly.co.id

Cara Merasionalkan Penyebut Pecahan Bentuk Akar Beserta Contoh Soal Dan Pembahasannya Terbaru
buen-humorii.blogspot.com

1 Rasionalkan Penyebut Pecahan Pecahan Berikut Ini Tex A Frac 5 Sqrt 15 Brainly Co Id
brainly.co.id

Bilangan Berpangkat Dan Bentuk Akar Anikasari
anikasari.wordpress.com

close