Menjawab Soal Dengan MUdah

Rasional Penyebut Pecahan Pecahan Berikut


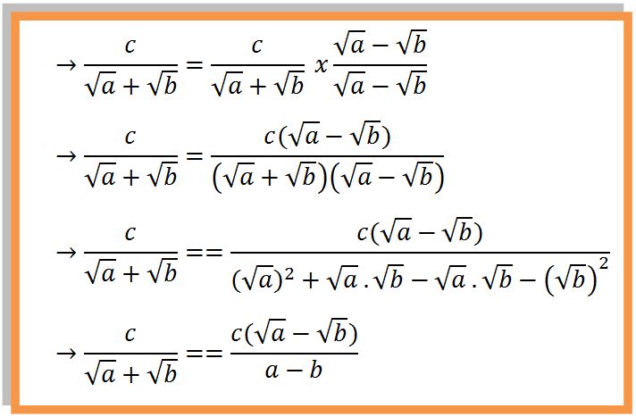
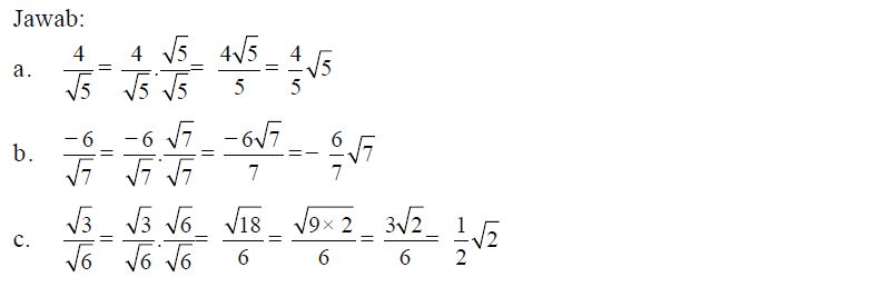
Merasionalkan Penyebut Pecahan Bentuk Akar
id.scribd.com

Rasionalkan Penyebut Pecahan Pecahan Berikut Tolong Ya Besok Dikumpulin Soalnya
idedukasi.id

6 Lkpd Kd 3 1 Pertemuan 6 Merasionalkan Penyebut Bentuk Akar
id.scribd.com

Rasionalkan Penyebut Pecahan Pecahan Berikut Ini
id-eduanswers.com

1 Rasionalkan Penyebut Pecahan Pecahan Berikut Kemudian Sederhakanlah A 4 2 2 B 3 3 5 Brainly Co Id
brainly.co.id

Bab 1 Matematika Wajib By Abdullah Sman 1 Genteng Issuu
issuu.com

Tutorial Cara Merasionalkan Penyebut Pada Pecahan Bentuk Akar Bagian 3 Youtube
www.youtube.com

Merasionalkan Penyebut Syaiflash Com
www.syaiflash.com

Modul 3 Merasionalkan Penyebut Pecahan Bentuk Akar 1 Antara Sma N 1 Karanggede Modul 3 Merasionalkan
dokumen.tips

Matematika Wajib Sem 1 Kelas X By Abdullah Sman 1 Genteng Issuu
issuu.com

Merasionalkan Penyebut Pecahan Bentuk Akar
maths.id

Kelas X Bab 1
www.slideshare.net

Merasionalkan Bentuk Pecahan Penyebut Akar Youtube
www.youtube.com

Kelas X Bab 1 Sma
www.slideshare.net

Ayo Merasionalkan Penyebut Pecahan Bentuk Akar Docx
id.scribd.com

Cara Mengerjakan Bentuk Sederhana Dari Akar Guru Ilmu Sosial
www.ilmusosial.id

Matematika Kelas 9 Bilangan Bentuk Akar Sifat Sifat Dan Cara Merasionalkannya
blog.ruangguru.com

Bahan Ajar Matematika Kelas X Semester 1 Sekolah Sma N 5 Ska Ppt Download
slideplayer.info

Kelas X Bab 1 Sma
www.slideshare.net

Rasionalkan Penyebut Pecahan Pecahan Berikut A Akar 6 Per Akar 12b 3 Per 3 Akar 3c 2 Per 5 Brainly Co Id
brainly.co.id

I Hate Math By Ambone105 On Deviantart
www.deviantart.com

Ppt Bahan Ajar Matematika Powerpoint Presentation Free Download Id 6751025
www.slideserve.com

Merasionalkan Penyebut Pecahan Dilengkapi Soal Latihan Dan Pembahasan Untuk Matematika Smp Kelas Ix Kurikulum 2013 Defantri Com
www.defantri.com

Kelompok 1 Kapsel Sma
www.slideshare.net

Smk Negeri 4 Surakarta Rsbi Ppt Download
slideplayer.info

Rasionalkan Penyebut Pecahan Pecahan Berikut Ini
id-eduanswers.com

Rasionalkan Penyebut Pecahan Pecahan Berikut A 8 6 Per 4 12 B 7 Per 11 7 C Brainly Co Id
brainly.co.id

Buku Pengangan Guru Kurikulum 2013
www.slideshare.net

Kelas X Bab 1
www.slideshare.net

Noer Zilla Ayu Widiyasari Pmtk 6e Ppt Download
slideplayer.info

Merasionalkan Penyebut Pecahan Bentuk Akar
maths.id

Rudi Azis Permana S Pd Merasionalkan Penyebut Pada Pecahan Bentuk Akar
rudimath86.blogspot.com

Doc Rpp Kd 1 1 Viany Jenudin Academia Edu
www.academia.edu

Merasionalkan Penyebut Pecahan Bentuk Akar
maths.id

Rasionalkan Penyebut 2a Per 3 Akar A Youtube
www.youtube.com

Cara Merasionalkan Pecahan Bentuk Akar
mafia.mafiaol.com

Soal Merasionalkan Penyebut Pecahan
maths.id

Rasionalkan Penyebut Pecahan Pecahan Berikut Ini Dijawab Pake Jalan Yaapliss Besok D Kumpulin Brainly Co Id
brainly.co.id

Modul A Guru Pembelajar Pdf Flip Book Pages 151 200 Pubhtml5
pubhtml5.com

Kelas X Bab 1 Sma
www.slideshare.net

Rasionalkan Penyebut Pecahan Pecahan Berikut Ini Hanya No 1 2 4 7 9 13 17 21 Brainly Co Id
brainly.co.id

Merasionalkan Penyebut Pecahan Bentuk Akar
maths.id

Cara Menyelesaikan Pertidaksamaan Rasional Atau Pertidaksamaan Pecahan Matematika Wajib Kelas X M4th Lab
www.m4th-lab.net

Merasionalkan Penyebut Pecahan Bentuk Akar
maths.id

Cara Merasionalkan Penyebut Pecahan 14 Langkah Dengan Gambar
id.wikihow.com

Contoh Soal Merasionalkan Penyebut Dan Pembahasan Soalfismat Com
soalfismat.com

Ulangan Harian Kelas X Docx
id.scribd.com

Rasionalkan Penyebut Pecahan Pecahan Berikut Ini Brainly Co Id
brainly.co.id

Matematika Kelas 9 Bilangan Bentuk Akar Sifat Sifat Dan Cara Merasionalkannya
blog.ruangguru.com

Page 24 Tes
online.anyflip.com

Doc Eksponen 1 Agil Maula Academia Edu
www.academia.edu

Merasionalkan Penyebut Akar Bse Matematika Kelas 10 Uji Kompetensi 1 2 No 02 Youtube
m.youtube.com

Merasionalkan Penyebut Pecahan Bentuk Akar Docx Google Drive
docs.google.com

Cara Merasionalkan Penyebut Pecahan Bentuk Akar Beserta Contoh Soal Dan Pembahasannya Blog Matematika
blogmipa-matematika.blogspot.com

Soal Merasionalkan Penyebut Pecahan
maths.id

Rasionalkan Penyebut Pecahan Pecahan Berikut Tolong Bantu Yaaa
idedukasi.id

Cara Merasionalkan Penyebut Pecahan Bentuk Akar Contoh Soal Dan Pembahasan
mathinsciences.blogspot.com

Cara Cepat Merasionalkan Penyebut
www.dosenmatematika.co.id

Cara Merasionalkan Penyebut Pecahan Bentuk Akar Beserta Contoh Soalnya Berpendidikan Com
www.berpendidikan.com

Oleh Fattaku Rohman S Pd Ppt Download
slideplayer.info

Bentuk Akar 6 Merasionalkan Penyebut Youtube
www.youtube.com

Modul Bahan Ajar Bilangan Berpangkat2012
www.slideshare.net

Pembahasan Soal Matematika Kelas X Merasionalkan Penyebut Suatu Pecahan Uji Kompetensi 1 6
horasmatematika.blogspot.com

Ppt Smk Negeri 4 Surakarta Rsbi Powerpoint Presentation Free Download Id 3934705
www.slideserve.com

Bentuk Sederhana Dari Akar Matematika Dan Cara Mendapatkannya
www.kelaspintar.id

Merasionalkan Pecahan Yang Penyebutnya Bentuk Akar Ilmu Hitung
ilmuhitung.com

Tutorial Cara Merasionalkan Penyebut Pada Pecahan Bentuk Akar Bagian 3 Youtube
www.youtube.com

Rasionalkan Penyebut Pecahan Pecahan Berikut Inijawab Sekarang Yah Besok Dikumpulin Brainly Co Id
brainly.co.id

Aturan Pangkat Akar Dan Logaritma Ppt Download
slideplayer.info

Oleh Fattaku Rohman S Pd Ppt Download
slideplayer.info

04 Merasionalkan Penyebut Suatu Pecahan 3 Soal 12w216 Bentuk Sederhana Dari Adalah 6 1 2 3 A Pdf Document
fdokumen.com

Cara Merasionalkan Penyebut Pecahan Bentuk Akar Beserta Contoh Soalnya Lontang Lantung
klontanglantung.blogspot.com

Dekomposisi Bentuk Aljabar Rasional Menjadi Pecahan Pecahan Parsial Pendidikan Matematika
yos3prens.wordpress.com

56 Merasionalkan Penyebut Pecahan Bentuk Akar
id.scribd.com

Merasionalkan Penyebut Pecahan Bentuk Akar
maths.id

Merasionalkan Penyebut Pecahan B 4 Akar 2 Per 4 Akar 2 Youtube
www.youtube.com

Rasionalkan Penyebut Pecahan Pecahan Berikut Jawab Dengan Benar Brainly Co Id
brainly.co.id

Merasionalkan Beberapa Pecahan Berpangkat Youtube
www.youtube.com

Bentuk Akar Oleh Esti Prastikaningsih Ppt Download
slideplayer.info

09 Theories Of Math Education Pages 51 100 Text Version Fliphtml5
fliphtml5.com

Rasionalkan Penyebut Bentuk Akar Math Striker 82
fbudiutomo82.smpalhikmahsby.sch.id

Rasionalkan Penyebut Penyebut Pecahan Pecahan Berikut Ini Besok Kumpulnya Brainly Co Id
brainly.co.id

Rasionalkan Penyebut Pecahan Pecahan Berikut A 16 Akar 100 1 Akar 32 B 2 Akar 5 Akar 3 Brainly Co Id
brainly.co.id

Tutorial Cara Mudah Merasionalkan Penyebut Pada Pecahan Bentuk Akar Bagian 1 Youtube
m.youtube.com

Merasionalkan Penyebut Kepingan Bentuk Akar Beserta Contoh Blog Cerdaskreatif
cerdaskreatif.com

Rasionalkan Penyebut Pecahan Pecahan Berikut Ini Brainly Co Id
brainly.co.id

Rasionalkan Penyebut Pecahan Pecahan Berikut Ini Nomor 20 22 24
id-eduanswers.com

6 Matematika Ardellrafi Apple
ardellapple.school.blog

Rasionalkan Penyebut Pecahan Berikut A 5 Per 24 B 4 2 Per 7 C 6 Per 12 3 D 2 Per Brainly Co Id
brainly.co.id

Rasionalkan Penyebut Pecahan Pecahan Berikut Brainly Co Id
brainly.co.id

Rasionalkan Penyebut Pecahan Pecahan Berikut Ini 1 1 5 3 2 4 2 4 2 3 2a 3a 5 4 Brainly Co Id
brainly.co.id

Smk Negeri 4 Surakarta Rsbi Ppt Download
slideplayer.info

Bilangan Berpangkat Dan Bentuk Akar
studylibid.com

Kelas X Bab 1 Sma
www.slideshare.net

Smk Negeri 4 Surakarta Rsbi Ppt Download
slideplayer.info

Cara Merasionalkan Bentuk Akar Beserta Contoh Soalnya Materi Belajar
www.materi4belajar.com

Matematika Kelas X Merasionalkan Penyebut Bentuk Akar
matematikauntukkelasx.blogspot.com

Bahan Ajar Matematika Kelas X Semester 1 Sekolah Sma N 5 Ska Ppt Download
slideplayer.info

Merasionalkan Penyebut Pecahan Bentuk Akar
maths.id

Merasionalkan Penyebut Pecahan Bentuk Akar
maths.id

close