Menjawab Soal Dengan MUdah

Sederhanakan Perpangkatan Berikut Ini Halaman 20


Https Files1 Simpkb Id Guruberbagi Rpp 88618 1594520038 Pdf

Kunci Jawaban Matematika Kelas 9 Halaman 30 32 Latihan 1 3 Kosingkat
www.kosingkat.id

Http Umpar Ac Id Donload Kdnya Nw5wcg9stk14r1nub295wknfeddtmk9hrgrdexfsvkg4zehjwvfithcrqy9xntrnu0jqmxzoewvvqmjowgnynthevk5qzmt4nfj3sgdwofdsymnptfjqz3ryvlhsb0rxzurueknzvuzrduk1dmd4cxfxztzmuwnwrhviyulvzmhac0hlumvlcevvm3b3nuzjtyswsni4l0vomhj2thj5eufqvxpmzgzzl2i4pq

Sederhanakan Perpangkatan Berikut Ini 21 Per 9 Pangkat 2 7 Per 2 Kuadrat Brainly Co Id
brainly.co.id

Soal Mtk Klas 9
id.scribd.com

1 Sederhanakan Perpangkatan Berikut A 4 Pangkat 6 X 4 Pangkat 3 B 7 Pangkat 3 X 7 Pangkat Brainly Co Id
brainly.co.id

Berikut ini adalah pembahasan dan kunci jawaban matematika kelas 9 semester 1 halaman 58 62.

Sederhanakan perpangkatan berikut ini halaman 20. Gunakan cara yang lebih mudah. Sehingga kita hanya dapat menghitung nilainya saja yaitu. Sederhanakan perpangkatan berikut ini 2561253 33559167 khuda9750 menunggu jawabanmu.

3 3 x 2 x 3 7 b. Latihan 12 perkalian pada perpangkatan halaman 20 kls 9 adalah materi tentang bilangan berpangkat. Semoga dengan adanya pembahasan serta kunci jawaban ini adik adik kelas 9 dapat menyelesaikan tugas.

Bantu jawab dan dapatkan poin. Soal dan pembahasan buku siswa matematika kls 9 latihan 12 halaman 20 nesajamath soal dan pembahasan buku siswa matematika kls 9 latihan 12 halaman 20. 3m 3 mn 4.

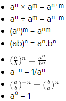
Sifat perpangkatan bilangan berpangkat. A3 a23 a5 a34 a34 a12 a3 a52 a3. 3 4 2 3 81 8 10125.

Nyatakan bilangan di bawah ini dalam bentuk yang memuat perpangkatan dengan basis 2. Semoga dengan adanya pembahasan serta kunci jawaban ini adik adik kelas 9 dapat menyelesaikan tugas. Uji kompetensi 1 halaman 58 62 matematika mtk kelas 9 smpmts bab 1 perpangkatan dan bentuk akar jawaban uji kompetensi 1 matematika kelas 9 halaman 58 jawaban uji kompetensi 1 halaman 58 matematika kelas 9 jawaban uji kompetensi 1 halaman 58 mtk kelas 9.

Ayo kita berlatih 12 halaman 20 22 bab 1 perpangkatan dan bentuk akar ayo kita berlatih 12 matematika mtk kelas 9 smpmts semester 1 k13 jawaban ayo kita berlatih 12 halaman 20 matematika kelas 9 perpangkatan dan bentuk akar jawaban ayo kita berlatih 12 matematika kelas 9 halaman 20 perpangkatan dan bentuk akar jawaban ayo kita berlatih 12 halaman 20 mtk kelas 9 perpangkatan. Sederhanakan operasi aljabar berikut ini. B 2y 7 b 3 y 2 c.

Sederhanakan perpangkatan berikut ini. Berikut ini adalah pembahasan dan kunci jawaban matematika kelas 9 semester 1 halaman 20 22. Beberapa contoh sifat bilangan berpangkat.

Berdasarkan semantik penulisan huruf disebut dengan superscript contoh. Bab 1 perpangkatan dan bentuk akar latihan 12 hal 20 22 nomor 1 13 essai. Pengertian perpangkatan atau eksponen perpangkatan adalah operasi matematika untuk perkalian berulang suatu bilangan sebanyak pangkatnya.

22 32 43 dan lainnyadalam bahasa inggris perpangkatan disebut dengan power atau exponent. 3 4 2 3 soal ini tidak bisa kita sederhakan kembali sebab bilangan pokonya berbeda 3 dan 2. Bab 1 perpangkatan dan bentuk akar uji kompetensi 1 hal 58 62 nomor 1 10 essai.

Pada operasi hitung perpangkatan bilangan berpangkat maka akan berlaku sifat seperti berikut ini. Tentukan nilai x yang memenuhi persamaan berikut ini a3xx81 b164x4 x 264 8. Kunci jawaban ini dibuat untuk membantu mengerjakan soal matematika bagi kelas 9 di semester 1 halaman 58 62.

Tentukan nilai dari perpangkatan berikut ini. Nyatakan hasil kali perpangkatan berikut dalam satu bentuk pangkat jelaskan. Y 3 2y 7 3y 2.

Jawaban Ayo Kita Berlatih 1 2 Halaman 20 Matematika Kelas 9 Perpangkatan Dan Bentuk Akar Bastechinfo
www.bastechinfo.com

6 Cara Untuk Menyederhanakan Ekspresi Akar Wikihow
id.wikihow.com

2

Perkalian 25 Yang Hasilnya 100
belajarbarengmudah.web.app

Matematika Sma Kelas X Semester 1 Siswa By Siti Mulyani Issuu
issuu.com

Uji Kompetensi 1 Nomor 20 21 22 23 24 25 Kelas 9 Smp Mts Pangkat Akar Bse Hal 58 By Belatik
cyberspaceandtime.com

2

Uji Kompetensi 1 Nomor 1 2 3 4 5 6 Kelas 9 Smp Mts Perpangkatan Paket Mtk Bse Revisi 2018 By Belatik
cyberspaceandtime.com

Soal Dan Pembahasan Buku Siswa Matematika Kls 9 Latihan 1 3 Halaman 27 Nesajamath
nesajamath.blogspot.com

Bahan Ajar Docx
id.scribd.com

Sederhanakan Perpangkatan Berikut Ini A 6pangkat 7 Kali 3 Pangkat 3 Per Dua Pangkat 7b 10 Pangkat Brainly Co Id
brainly.co.id

Tuliskan Kembali Perpangkatan Berikut Dalam 3 Bentuk Pembagian Perpangkatan Yang Berbeda Seputar Bentuk
seputarbentuk.blogspot.com

Menyederhanakan Perpangkatan Bse Matematika Kelas 9 Kurikulum 2013 Latihan 1 2 No 02 Abcd Youtube
www.youtube.com

Jawaban Latihan 1 2 Perkalian Pada Perpangkatan Halaman 20 Kls 9 Tolong Y Kk Brainly Co Id
brainly.co.id

1 Faktorisasi Suku Aljabar 5 Kemudian Sederhanakan Bentuk Bentuk Aljabar Berikut A A2 2ab 3b2 7a2 5ab Jabarkan Bentuk Per Kalian Berikut Pdf Document
fdokumen.com

Latihan 1 2 Matematika Kelas 9 Brainly Co Id
brainly.co.id

6 Cara Untuk Menyederhanakan Ekspresi Akar Wikihow
id.wikihow.com

Buku Guru Kelas Ix Matematika K 13
www.slideshare.net

Sederhanakan Dalam Bentuk Pangkat Positif A 2m 4 M 3 Guru Ilmu Sosial
www.ilmusosial.id

Kunci Jawaban Soal Matematika Bilangan Berpangkat Dan Akar Untuk Smp Di Tvri Selasa 21 Juli 2020 Tribun Manado
manado.tribunnews.com

Buku Guru Kelas Ix Matematika K 13
www.slideshare.net

Kunci Jawaban Matematika Kelas 9 Halaman 58 62 Uji Kompetensi 1 Kosingkat
www.kosingkat.id

Kunci Jawaban Matematika Kelas 6 Quadra Guru Ilmu Sosial
www.ilmusosial.id

Lengkap Kunci Jawaban Buku Paket Matematika Latihan 1 2 Perkalian Pada Perpangkatan Halaman 20 21 22 Kelas 9 Kurikulum 2013 Jawaban Buku Paket
www.jawabanbukupaket.com

Ayo Kita Tinjau Ulang Perkalian Pada Perpangkatan Hal 19 Matematika Kelas 9 Bab 1 Youtube
m.youtube.com

1 Sederhanakan Perkalian Dari Perpangkatan Berikut A 7 Pangkat 3 Kali 7 Pangkat 2 B 1 Per 3 Pangkat Brainly Co Id
brainly.co.id

Soal Dan Pembahasan Buku Siswa Matematika Kls 9 Latihan 1 Docx
id.scribd.com

Lengkap Kunci Jawaban Buku Paket Matematika Latihan 1 2 Perkalian Pada Perpangkatan Halaman 20 21 22 Kelas 9 Kurikulum 2013 Jawaban Buku Paket
www.jawabanbukupaket.com

Jawaban Buku Siswa Matematika Kelas 9 Latihan 1 3 Pembagian Pada Perpangkatan Hal 30 Pentium Sintesi
pentiumsintesi.blogspot.com

Kunci Jawaban Latihan 1 2 Perkalian Pada Perpangkatan Halaman 20 21 22 Kelas 9 Jawaban Buku Paket
www.jawabanbukupaket.com

Soal Dan Pembahasan Buku Siswa Matematika Kls 9 Latihan 1 Docx
id.scribd.com

Matematika Kelas 9 Pages 101 150 Text Version Anyflip
anyflip.com

Latihan 1 3 Nomor 1 2 3 4 5 Kelas 9 Smp Mts Pembagian Pada Perpangkatan Mtk Bse Revisi 2018 Hal 30 Youtube
www.youtube.com

Perpangkatan Dan Bentuk Akar Smp Kelas 9 Buku Bse Revisi 2018 Matematika Lat 1 3 No 1 Pembagian Akar Youtube
www.youtube.com

Matematika Menjawab Kunci Jawaban Uji Kompetensi 1 Bab Perpangkatan Dan Bentuk Akar Kelas 9 K13 Nomor 1 15 Matematika Menjawab
www.matematikamenjawab.com

Sederhanakan Perpangkatan Berikut Ini Brainly Co Id
brainly.co.id

Uji Kompetensi 1 Nomor 20 21 22 23 24 25 Kelas 9 Smp Mts Semester 1 Pangkat Akar Bse Halaman 60 61 Youtube
www.youtube.com

Tuliskan Kembali Perpangkatan Berikut Dalam 3 Bentuk Pembagian Perpangkatan Yang Berbeda Seputar Bentuk
seputarbentuk.blogspot.com

Jawaban Soal Nomor 7 Amp 9 Halaman 21 Latihan 1 2 Perkalian Pada Perpangkatan Buku Paket Kelas 9 Brainly Co Id
brainly.co.id

1 Sederhanakan Perpangkatan Berikut Ini A 4 5 4 2 B 4 6 4 2 C 0 3 7 0 3 3 D Brainly Co Id
brainly.co.id

Jawaban Uji Kompetensi 1 Matematika Kelas 9 Smp Halaman 58 Kurikulum 2013 Revisi 2018 Docx Jawaban Uji Kompetensi 1 Matematika Kelas 9 Smp Halaman 58 Course Hero
www.coursehero.com

Tuliskan Kembali Perpangkatan Berikut Dalam 3 Bentuk Pembagian Perpangkatan Yang Berbeda Seputar Bentuk
seputarbentuk.blogspot.com

Kunci Jawaban Sederhanakan Bentuk Di Bawah Ini A A 3b 3c 3 4bc X 8ac 3bc 3 B 2m 0 X M 2 3 C M 3 4 M 3 Rofa Education Centre
rofaeducationcentre.blogspot.com

Jawaban Latihan 1 3 Matematika Kelas 9 Smp Halaman 30 Brainly Co Id
brainly.co.id

Kelas Ix Matematika Bs Semester 1 Crc
www.slideshare.net

Lengkap Kunci Jawaban Buku Paket Matematika Latihan 1 2 Perkalian Pada Perpangkatan Halaman 20 21 22 Kelas 9 Kurikulum 2013 Jawaban Buku Paket
www.jawabanbukupaket.com

Kunci Jawaban Matematika Kelas 9 Kurikulum 2013 Semester 1 Halaman 20 Sanjau Com
www.sanjau.com

Kunci Jawaban Matematika Kelas 9 Halaman 58 62 Uji Kompetensi 1 Kosingkat
www.kosingkat.id

Tuliskan Kembali Perpangkatan Berikut Dalam 3 Bentuk Pembagian Perpangkatan Yang Berbeda Seputar Bentuk
seputarbentuk.blogspot.com

S E K O L A H Smp Mata Pelajaran
studylibid.com

Buku Guru Kelas Ix Matematika K 13
www.slideshare.net

Jawaban Buku Siswa Matematika Kelas 9 Latihan 1 3 Pembagian Pada Perpangkatan Hal 30 Pentium Sintesi
pentiumsintesi.blogspot.com

Kunci Jawaban Matematika Kelas 9 Halaman 58 62 Uji Kompetensi 1 Kosingkat
www.kosingkat.id

Makalah Matsek3 Docx
id.scribd.com

Jawaban Uji Kompetensi 1 Matematika Kelas 9 Smp Halaman 58 Kurikulum 2013 Revisi 2018 Docx Jawaban Uji Kompetensi 1 Matematika Kelas 9 Smp Halaman 58 Course Hero
www.coursehero.com

Menyederhanakan Perpangkatan Bse Matematika Kelas 9 Kurikulum 2013 Latihan 1 2 No 02 Abcd Youtube
www.youtube.com

Matematika Aljabar 1729n
1729n.wordpress.com

Latihan 1 2 Perkalian Pada Perpangkatan Matematika Kelas 9 Bab 1 Perpangkatan Dan Bentuk Akar Youtube
www.youtube.com

Perpangkatan Cara Menghitung Pangkat Sifat Dan Tabel Perpangkatan
www.advernesia.com

Lengkap Kunci Jawaban Buku Paket Matematika Latihan 1 2 Perkalian Pada Perpangkatan Halaman 20 21 22 Kelas 9 Kurikulum 2013 Jawaban Buku Paket
www.jawabanbukupaket.com

Sederhanakan Bentuk Bentuk Berikut A 2pangkat 4 3 B 5pangkat 3 Pangkat 6 Youtube
www.youtube.com

Hak Cipta 2015 Pada Kementerian Pendidikan Dan Kebudayaan Dilindungi Undang Undang Pdf Free Download
docplayer.info

2 Sederhanakan Perpangkatan Berikut Ini A 4 6 X 4 3 B 7 3 X 7 2 C 4 2 5 4 X Brainly Co Id
brainly.co.id

Perpangkatan Dan Bentuk Akar Smp Kelas 9 Buku Bse Revisi 2018 Matematika 1 3 Pembagian Pada Perpa Youtube
www.youtube.com

Lengkap Uji Kompetensi 1 Kelas 9 Smp Mts Semester 1 Perpangkatan Akar Buku Paket Bse Halaman 58 Youtube
www.youtube.com

Kunci Jawaban Latihan 1 2 Perkalian Pada Perpangkatan Matematika Kelas 9 Smp Mts Hal 20 22 Youtube
www.youtube.com

Latihan 1 3 Pembagian Pada Perpangkatan Brainly Co Id
brainly.co.id

Jawaban Latihan 1 2 Perkalian Pada Perpangkatan Halaman 20 Kls 9 Tolong Y Kk Brainly Co Id
brainly.co.id

Buku Siswa Matematika Kelas 9 Revisi 2018 Compressed Pages 1 50 Text Version Anyflip
anyflip.com

Sederhanakan Dalam Bentuk Pangkat Positif A 2m 4 M 3 Guru Ilmu Sosial
www.ilmusosial.id

Uji Kompetensi 1 Nomor 14 15 16 17 18 19 Kelas 9 Smp Mts Perpangkatan Bentuk Akar Halaman 58 59 Youtube
www.youtube.com

Sederhanakan Perpangkatan Berikut Ini Halaman 20 Kelas 9 Brainly Co Id
brainly.co.id

Sederhanakan Perpangkatan Berikut Ini A 6pangkat 7 Kali 3 Pangkat 3 Per Dua Pangkat 7b 10 Pangkat Brainly Co Id
brainly.co.id

Buku Guru Kelas Ix Matematika K 13
www.slideshare.net

Kunci Jawaban Latihan 1 2 Perkalian Pada Perpangkatan Halaman 20 21 22 Kelas 9 Jawaban Buku Paket
www.jawabanbukupaket.com

Matematika Kelas 7 Semester 1 By Pkbm Muhammadiyah Taiwan Issuu
issuu.com

Https Bsd Pendidikan Id Data Smp 9 Mudah Belajar Matematika Kelas Ix Kelas 9 Nuniek Avianti Agus 2008 Pdf

Doc Rpp Bab 1 Perpangkatan Dan Bentuk Akar Inri Fitriani Academia Edu
www.academia.edu

Buku Guru Kelas Ix Matematika K 13
www.slideshare.net

Lat 1 2 Docx
id.scribd.com

Soal Dan Pembahasan Buku Siswa Matematika Kls 9 Latihan 1 3 Halaman 27 Nesajamath
nesajamath.blogspot.com

Matematika Kelas 9 Pages 101 150 Text Version Anyflip
anyflip.com

Matematika Aljabar 1729n
1729n.wordpress.com

Kunci Jawaban Matematika Kelas 9 Halaman 20 22 Latihan 1 2 Kosingkat
www.kosingkat.id

Sederhanakan Perpangkatan Berikut Ini Brainly Co Id
brainly.co.id

Matematika Kelas 9 Halaman 20 Latihan 1 2 Nomor 3 Brainly Co Id
brainly.co.id

Soal Dan Pembahasan Buku Siswa Matematika Kls 9 Latihan 1 2 Halaman 20 Nesajamath
nesajamath.blogspot.com

Tugas Matematika 1
id.scribd.com

Https Files1 Simpkb Id Guruberbagi Rpp 88618 1594520038 Pdf

Tutorial Menjawab Soal Matematika Kelas 9 Smp Tentang Perkalian Pada Perpangkatan Your Chemistry A
www.avkimia.com

Uji Kompetensi 1 Perpangkatan Dan Bentuk Akar Brainly Guru Ilmu Sosial
www.ilmusosial.id

Kelas Ix Matematika Bs Semester 1 Crc
www.slideshare.net

Latihan 1 3 Nomor 1 2 3 4 5 Kelas 9 Smp Mts Pembagian Pada Perpangkatan Mtk Bse Revisi 2018 Hal 30 Youtube
www.youtube.com

3 Operasi Hitung Bentuk Aljabar Pdf Free Download
docplayer.info

close