Menjawab Soal Dengan MUdah

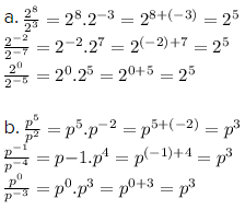
Sederhanakan Perpangkatan Berikut Ini Latihan 13


Perpangkatan Dan Bentuk Akar Smp Kelas 9 Buku Bse Revisi 2018 Matematika Lat 1 4 No 1 7 Youtube
www.youtube.com

09 Theories Of Math Education Pages 51 100 Text Version Fliphtml5
fliphtml5.com

Menyederhanakan Pembagian Perpangkatan Bse Matematika Smp Kelas 9 K13 Latihan 1 3 No 02 Youtube
www.youtube.com

Latihan 1 4 Nomor 1 2 3 4 5 Kelas 9 Smp Mts Pangkat Nol Pangkat Negatif Mtk Bse Revisi 2018 Hal 46 Youtube
www.youtube.com

Perpangkatan Dan Bentuk Akar Smp Kelas 9 Buku Bse Revisi 2018 Matematika 1 3 Pembagian Pada Perpa Youtube
www.youtube.com

02 Tugas 2 Latihan 1 3
dokumen.tips

Insight Chamber Buku Bse Smp Kelas 9 Teori Dan Pembahasan Soal
insight-chamber.blogspot.com

Matematika Kelas 9 Pages 101 150 Text Version Anyflip
anyflip.com

Bahan Ajar Docx
id.scribd.com

Bab 6
id.scribd.com

Sederhanakan Bentuk Operasi Perpangkatan Berikut Ini Brainly Co Id
brainly.co.id

Lengkap Kunci Jawaban Buku Paket Matematika Latihan 1 3 Pembagian Pada Perpangkatan Halaman 30 31 32 Kelas 9 Kurikulum 2013 Jawaban Buku Paket
www.jawabanbukupaket.com

Buku Siswa Kelas 9 Smp
www.slideshare.net

Jawaban Buku Siswa Matematika Kelas 9 Latihan 1 3 Pembagian Pada Perpangkatan Hal 30 Pentium Sintesi
pentiumsintesi.blogspot.com

Lengkap Kunci Jawaban Buku Paket Matematika Latihan 1 3 Pembagian Pada Perpangkatan Halaman 30 31 32 Kelas 9 Kurikulum 2013 Jawaban Buku Paket
www.jawabanbukupaket.com

A Simb Posts Facebook
www.facebook.com

Buku Guru Kelas Ix Matematika K 13
www.slideshare.net

Buku Guru Kelas Ix Matematika K 13
www.slideshare.net

Buku Siswa Kelas 9 Smp
www.slideshare.net

Kelas Ix Matematika Bs Semester 1 Crc
www.slideshare.net

Perpangkatan Dan Bentuk Akar Smp Kelas 9 Buku Bse Revisi 2018 Matematika Lat 1 3 No 1 Pembagian Akar Youtube
www.youtube.com

Matematika Kelas 9 Halaman 20 Latihan 1 2 Nomor 3 Brainly Co Id
brainly.co.id

Buku Siswa Kelas 9 Smp
www.slideshare.net

02 Tugas 2 Latihan 1 3
id.scribd.com

Latihan 1 3 Mtk Kelas 9 Brainly Co Id
brainly.co.id

Buku Siswa Matematika Kelas 9 Revisi 2018 Compressed Pages 1 50 Text Version Anyflip
anyflip.com

Sederhanakan Perpangkatan Berikut 0 3pangkat 7 0 3pangkat 3 Brainly Co Id
brainly.co.id

Tuliskan Kembali Perpangkatan Berikut Dalam Tiga Bentuk Pembagian Perpangkatan Yang Berbeda Tex 2 Brainly Co Id
brainly.co.id

Jawaban Buku Siswa Matematika Kelas 9 Latihan 1 3 Pembagian Pada Perpangkatan Hal 30 Pentium Sintesi
pentiumsintesi.blogspot.com

Buku Siswa Matematika Kelas 9 Revisi 2018 Compressed Pages 1 50 Text Version Anyflip
anyflip.com

Sederhanakan Perpangkatan Berikut Ini Brainly Co Id
brainly.co.id

Kunci Jawaban Matematika Latihan 13 Sanjau Com
www.sanjau.com

Buku Guru Kelas Ix Matematika K 13
dokumen.tips

Lengkap Latihan 1 3 Kelas 9 Smp Mts Semester 1 Pembagian Bilangan Pangkat Mtk Bse Revisi 2018 Hal 30 Youtube
www.youtube.com

Sederhanakan Perpangkatan Berikut Ini Brainly Co Id
brainly.co.id

Buku Siswa Kelas 9 Smp
www.slideshare.net

Sederhanakan Bentuk Operasi Perpangkatan Berikut Ini Brainly Co Id
brainly.co.id

Buku Pegangan Siswa Matematika Smp Kelas 9 Kurikulum 2013 Semester 1
es.scribd.com

1 Sederhanakan Perpangkatan Berikut Ini Tolong Jawab Yang E Dan J Ya Tolong Bantuan Brainly Co Id
brainly.co.id

Sederhanakan Perpangkatan Berikut Ini 21 Per 9 Pangkat 2 7 Per 2 Kuadrat Brainly Co Id
brainly.co.id

Jawaban Buku Siswa Matematika Kelas 9 Latihan 1 3 Pembagian Pada Perpangkatan Hal 30 Pentium Sintesi
pentiumsintesi.blogspot.com

1 Sederhanakan Perpangkatan Berikut A 8 8 B 2 3 Pangkat 7 2 3 C 8 Pangkat 9 8 2 Brainly Co Id
brainly.co.id

4 Sederhanakan Operasi Berikut Ini Tuliskan Jawabanmu Dalam Pangkat A 3 7 3 2 3 3 B Brainly Co Id
brainly.co.id

Berikut Ini
flyingfam.blogspot.com

Insight Chamber Buku Bse Smp Kelas 9 Teori Dan Pembahasan Soal
insight-chamber.blogspot.com

Latihan 1 3 No 1 3 Pembagian Pada Perpangkatan Matematika Kelas 9 Bab 1 Youtube
www.youtube.com

Perpangkatan Dan Bentuk Akar Smp Kelas 9 Buku Bse Revisi 2018 Matematika Lat 1 3 No 1 Pembagian Akar Youtube
www.youtube.com

Sederhanakan Perpangkatan Berikut Ini 10 Pangkat 6 Dikali 4 Pangkat Dua Per 25 Pangkat 3 Di Kali 8 Brainly Co Id
brainly.co.id

Bahan Ajar Docx
id.scribd.com

Jawaban Latihan 1 3 Halaman 30 Matematika Kelas 9 Perpangkatan Dan Bentuk Akar Bastechinfo
www.bastechinfo.com

Kunci Jawaban Matematika Latihan 13 Sanjau Com
www.sanjau.com

Sederhanakan Pembagian Perpangkatan Di Bawah Ini Soal Ada Di Gambar Tolong Dijawab Ya Kawan Brainly Co Id
brainly.co.id

Buku Siswa Kelas 9 Smp
www.slideshare.net

Soal Dan Pembahasan Buku Siswa Matematika Kls 9 Latihan 1 3 Halaman 27 Nesajamath
nesajamath.blogspot.com

Latihan 1 3 Nomor 1 2 3 4 5 Kelas 9 Smp Mts Pembagian Pada Perpangkatan Mtk Bse Revisi 2018 Hal 30 Youtube
www.youtube.com

Kelas 09 Smp Matematika Siswa 1 By P E Thea Issuu
issuu.com

Kelas Ix Matematika Bs Semester 1 Crc
www.slideshare.net

Soal Dan Pembahasan Buku Siswa Matematika Kls 9 Latihan 1 3 Halaman 27 Nesajamath
nesajamath.blogspot.com

Lengkap Kunci Jawaban Buku Paket Matematika Latihan 1 3 Pembagian Pada Perpangkatan Halaman 30 31 32 Kelas 9 Kurikulum 2013 Jawaban Buku Paket
www.jawabanbukupaket.com

Lengkap Kunci Jawaban Buku Paket Matematika Latihan 1 3 Pembagian Pada Perpangkatan Halaman 30 31 32 Kelas 9 Kurikulum 2013 Jawaban Buku Paket
www.jawabanbukupaket.com

Soal Dan Pembahasan Buku Siswa Matematika Kls 9 Latihan 1 3 Halaman 27 Nesajamath
nesajamath.blogspot.com

Latihan 1 3 Pembagian Pada Perpangkatan Brainly Co Id
brainly.co.id

Buku Siswa Matematika Kelas 9 Revisi 2018 Compressed Pages 1 50 Text Version Anyflip
anyflip.com

Insight Chamber Buku Bse Smp Kelas 9 Teori Dan Pembahasan Soal
insight-chamber.blogspot.com

Buku Siswa Kelas 9 Smp
www.slideshare.net

Jawaban Buku Siswa Matematika Kelas 9 Latihan 1 3 Pembagian Pada Perpangkatan Hal 30 Pentium Sintesi
pentiumsintesi.blogspot.com

Sederhanakan Operasi Berikut A 5 Pangkat 5 Per 5 Pangkat2 5 Pangkat3 Youtube
www.youtube.com

Sederhanakan Bentuk Akar Berikut A 112b 216c 605d 800e 5000f 0 000121g 0 00000324h 9 2 72 Brainly Co Id
brainly.co.id

Bab 1 Perpangkatan Dan Bentuk Akar
id.scribd.com

Kelas 9 Latihan 1 3 No 1 Matematika Semester 1 Pembagian Pada Perpangkatan Youtube
www.youtube.com

Lengkap Kunci Jawaban Buku Paket Matematika Latihan 1 3 Pembagian Pada Perpangkatan Halaman 30 31 32 Kelas 9 Kurikulum 2013 Jawaban Buku Paket
www.jawabanbukupaket.com

Bab 6
id.scribd.com

Jawaban Latihan 1 2 Perkalian Pada Perpangkatan Halaman 20 Kls 9 Tolong Y Kk Brainly Co Id
brainly.co.id

Menyederhanakan Perpangkatan Bse Matematika Kelas 9 Kurikulum 2013 Latihan 1 2 No 02 Abcd Youtube
www.youtube.com

Latihan 1 3 Nomor 1 2 3 4 5 Kelas 9 Smp Mts Pembagian Pada Perpangkatan Mtk Bse Revisi 2018 Hal 30 Youtube
www.youtube.com

Https Files1 Simpkb Id Guruberbagi Rpp 88618 1594520038 Pdf

Bab I Perpangkatan Dan Bentuk Akar Smp Kelas 9 Bentuk Akar 1 1 Menghargai Dan Menghayati Ajaran Pdf Document
fdokumen.com

Soal Dan Pembahasan Buku Siswa Matematika Kls 9 Latihan 1 2 Halaman 20 Nesajamath
nesajamath.blogspot.com

Menyederhanakan Perpangkatan Bse Matematika Kelas 9 Kurikulum 2013 Latihan 1 2 No 02 Abcd Youtube
www.youtube.com

Sederhanakan Perpangkatan Berikut Ini A 6pangkat 7 Kali 3 Pangkat 3 Per Dua Pangkat 7b 10 Pangkat Brainly Co Id
brainly.co.id

Soal Dan Pembahasan Buku Siswa Matematika Kls 9 Latihan 1 3 Halaman 27 Nesajamath
nesajamath.blogspot.com

Latihan 1 2 Matematika Kelas 9 Brainly Co Id
brainly.co.id

Bab I Perpangkatan Dan Bentuk Akar Smp Kelas 9 Bentuk Akar 1 1 Menghargai Dan Menghayati Ajaran Pdf Document
fdokumen.com

Sederhanakan Perpangkatan Berikut Ini A 6pangkat 7 Kali 3 Pangkat 3 Per Dua Pangkat 7b 10 Pangkat Brainly Co Id
brainly.co.id

Kunci Jawaban Matematika Kelas 9 Halaman 30 32 Latihan 1 3 Kosingkat
www.kosingkat.id

Jawaban Latihan 1 3 Halaman 30 Matematika Kelas 9 Perpangkatan Dan Bentuk Akar Bastechinfo
www.bastechinfo.com

Bab 1 Perpangkatan Dan Bentuk Akar
id.123dok.com

Bs Mtk Kls 9 Www M4th Lab Net Pages 1 50 Flip Pdf Download Fliphtml5
fliphtml5.com

Menyederhanakan Operasi Perpangkatan Aljabar Youtube
m.youtube.com

Kelas Ix Matematika Bs Semester 1 Crc
www.slideshare.net

Kelas 9 Latihan 1 3 No 2 Dan 3 Matematika Kelas 9 Semester 1 Pembagian Pada Perpangkatan Youtube
www.youtube.com

Http Marisekolah Com Materi Materi 20smp 20kelas 209 Matematika Bab 201 20perpangkatan 20dan 20bentuk 20akar Pdf

Buku Guru Kelas Ix Matematika K 13
www.slideshare.net

Buku Guru Kelas Ix Matematika K 13
www.slideshare.net

Uji Kompetensi 1 Nomor 1 2 3 4 5 6 Kelas 9 Smp Mts Perpangkatan Paket Mtk Bse Revisi 2018 Halaman 58 Youtube
www.youtube.com

Latihan 1 3 Kelas 9smp Brainly Co Id
brainly.co.id

Bab I Perpangkatan Dan Bentuk Akar Smp Kelas 9 Bentuk Akar 1 1 Menghargai Dan Menghayati Ajaran Pdf Document
fdokumen.com

Bab I Perpangkatan Dan Bentuk Akar
id.scribd.com

Buku Guru Kelas Ix Matematika K 13
dokumen.tips

Jawaban Latihan 1 3 Matematika Kelas 9 Smp Halaman 30 Brainly Co Id
brainly.co.id

close