Menjawab Soal Dengan MUdah

Seorang Penjaga Gawang Profesional Mampu Menahan Tendangan Penalti Dengan Peluang 35


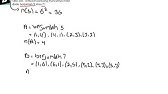
Soal Soal Peluang
id.scribd.com

2

Teori Peluang Archives Halaman 2 Dari 7 Mathcyber1997
mathcyber1997.com

Pembahasan Matematika Un Sma 2014 2015 4 Math Is Beautiful
aimprof08.wordpress.com

Problem Solving Tempat Bertanya Pr Kaskuser Sd Smp Sma Part 3 Page 407 Kaskus
www.kaskus.co.id

2019 Docx
id.scribd.com

Peluang Adu Pinalti Matenatika Sma Youtube
www.youtube.com

Pembahasan Matematika Ipa Un 2015 No 36 40
kakajaz.blogspot.com

Piala Dunia Antarklub Fifa Dhmosieyseis Facebook
el-gr.facebook.com

Bahas Usbn Unbk Matematika Peluang Permutasi Dan Kombinasi
herycandrajaya.blogspot.com

Naskah Asli Un Matematika Sma Ipa 2015
www.slideshare.net

2

Contoh Soal Dan Kisi Ipa 2018
www.slideshare.net

Pusat Perbukuan Buku Pelajaran Penjasorkes Akan Menjadi Sumber Belajar Yang Efektif Bagi Siswa Bila Pdf Document
fdokumen.com

Solusi Master Un Sma Ma Ipa 2016 Sistem Cbt Pbt Pages 1 18 Text Version Fliphtml5
fliphtml5.com

Contoh Soal Peluang Dan Cara Penyelesaian Roboh Official
robohidios.wordpress.com

Rumah Belajar Andre Rba February 2019
www.andrepradnya.com

370570014 Contoh Soal Hots Matematika Smp Doc Docx Contoh Soal Hots Matematika Contoh Soal Hots 1 Untuk Dapat Diterima Di Fakultas Teknik Seorang Course Hero
www.coursehero.com

Soal Hots Peluang Guru Ilmu Sosial
www.ilmusosial.id

Soal Dan Pembahasan Un Matematika Sma Program Ipa Tahun 2015 No 36 40 Matematika 123
matematika123.com

Soal Dan Pembahasan Un Matematika Sma Program Ipa Tahun 2015 No 36 40 Matematika 123
matematika123.com

Soal Dan Pembahasan Super Lengkap Distribusi Peluang Binomial Mathcyber1997
mathcyber1997.com

Ada Yang Tau Cara Dan Isi Soal Ini Yang Bener Ya Jawabannya Soalnya Butuh Banget Brainly Co Id
brainly.co.id

Verona Raih Kemenangan Kedua Sampdoria Makin Terpuruk Antara News Papua
papua.antaranews.com

Soal Dan Pembahasan Un Matematika Sma Program Ipa Tahun 2015 No 36 40 Matematika 123
matematika123.com

Seorang Penjaga Gawang Profesional Mampu Menahan Tendangan Pinalti Dengan Peluang 3 5 Dalam Sebuah Brainly Co Id
brainly.co.id

Contoh Soal Hots Matematika Smp Doc
es.scribd.com

Peluang Penjaga Gawang Menahan Tendangan Penalti Youtube
www.youtube.com

Http Eprints Uny Ac Id 60011 1 Skripsi Taufik Akbar 11602241020 Pdf

Teori Peluang Archives Halaman 2 Dari 7 Mathcyber1997
mathcyber1997.com

Seorang Penjaga Gawang Profesional Mampu Menahan Tendangan Penalti Dg Peluang 3 5 Dlm Sebuah Brainly Co Id
brainly.co.id

Soal Dan Pembahasan Un Matematika Sma Program Ipa Tahun 2015 No 36 40 Matematika 123
matematika123.com

Http Eprints Uny Ac Id 65602 1 Tugas 20akhir 20skripsi Pdf

Soal Dan Pembahasan Un Matematika Sma Program Ipa Tahun 2015 No 36 40 Matematika 123
matematika123.com

Contoh Soal Hots Matematika Sma Matematrick
www.matematrick.com

Peluang Penjaga Gawang Menahan 3x Dari 5x Un Matematika Ipa Sma 2015 Pembahasan No 40 Youtube
www.youtube.com

Https Core Ac Uk Download Pdf 33511725 Pdf

Pengaruh Latihan Menendang Menggunakan Kura Kura Kaki Dalam Dan Kura Kura Kaki Penuh Terhadap Ketepatan Passing Pdf Download Gratis
docplayer.info

Peluang
id.scribd.com

Page 347 Radar Malang Online
radarmalang.jawapos.com

Harian Nasional By Harian Nasional Issuu
issuu.com

Soal Dan Pembahasan Super Lengkap Distribusi Peluang Binomial Mathcyber1997
mathcyber1997.com

Peluang Penjaga Gawang Menahan 3x Dari 5x Un Matematika Ipa Sma 2015 Pembahasan No 40 Youtube
www.youtube.com

Pembahasan Soal Un Peluang Smatika
smatika.blogspot.com

2

Distribusi Binomial Informasi Terdepan Dari Sma Negeri 1 Paciran
mtksmancir.wordpress.com

Distribusi Binomial Mathematics Quiz Quizizz
quizizz.com

Http Repository Unj Ac Id 562 4 6 20bab 20ii Pdf

Solusi Master Un Sma Ma Ipa 2016 Sistem Cbt Pbt Pages 1 18 Text Version Fliphtml5
fliphtml5.com

Soal Hots Peluang Guru Ilmu Sosial
www.ilmusosial.id

Merged Timeout Non United Archive Page 4 United Indonesia Manchester United Indonesia Supporters Club
www.unitedindonesia.org

Peraturan Olahraga Indosport
www.indosport.com

Contoh Soal Hots Matematika Docx
docs.google.com

Peluang Penjaga Gawang Menahan 3x Dari 5x Un Matematika Ipa Sma 2015 Pembahasan No 40 Youtube
www.youtube.com

Seorang Penjaga Gawang Profesional Mampu Menahan Tendangan Penalti Dengan Peluang Latihan Soal Online
latihansoalonline.com

Lazio Tersungkur 1 2 Di Markas Lecce Semakin Tertinggal Dari Juve Antara News Riau
riau.antaranews.com

Umuh Muchtar Kami Musim Lalu Kalah Karena Ada Djadjang Di Persebaya
www.jawapos.com

6 Tips Dan Trik Fifa 20 Yang Bisa Digunakan Untuk Meningkatkan Permainan Anda Hybrid
hybrid.co.id

6 Tips Dan Trik Fifa 20 Yang Bisa Digunakan Untuk Meningkatkan Permainan Anda Hybrid
hybrid.co.id

Statistika Dan Peluang Mathematics Quiz Quizizz
quizizz.com

Contoh Soal Peluang Dan Cara Penyelesaian Roboh Official
robohidios.wordpress.com

Spanyol Terkena Kutukan Tuan Rumah Ditaklukkan Rusia Via Adu Penalti Antara News
www.antaranews.com

Page 82 12sma Matematika
primagama.noip.me

Pembahasan Matematika Ipa Un 2015 No 36 40
kakajaz.blogspot.com

Soal Soal Peluang
ru.scribd.com

Naskah Asli Un Matematika Sma Ipa 2015
www.slideshare.net

332 1271 Cover Jpg Buku Sekolah Elektronik
www.yumpu.com

Seorang Penjaga Gawang Profesional Mampu Menahan Tendangan Penalti Dengan Peluang 3 5 Dalam Sebuah Brainly Co Id
brainly.co.id

Pembahasan Matematika Un Sma 2014 2015 4 Math Is Beautiful
aimprof08.wordpress.com

Ujian Semester Genap 2019 2020 Mathematics Quiz Quizizz
quizizz.com

Peluang Matematika 1 Youtube
www.youtube.com

Contoh Soal Peluang Dan Cara Penyelesaian Roboh Official
robohidios.wordpress.com

Peluang Penjaga Gawang Menahan 3x Dari 5x Un Matematika Ipa Sma 2015 Pembahasan No 40 Youtube
www.youtube.com

Seorang Penjaga Gawang Profesional Mampu Menahan Tendangan Penalti Dengan Peluang 3 5 Dalam Sebuah Brainly Co Id
brainly.co.id

Soal Mengenai Peluang
www.duniawawa.com

Naskah Asli Un Matematika Sma Ipa 2015
www.slideshare.net

Seorang Penjaga Gawang Profesional Mampu Menahan Tendangan Penalti Dengan Peluang 30 Dalam Sebuah Brainly Co Id
brainly.co.id

Page 63 Radar Malang Online
radarmalang.jawapos.com

Soal Latihan Peluang Kelas 12
id.scribd.com

Waspada Senin 16 Juli 2018 By Harian Waspada Issuu
issuu.com

8 Besar Piala Dunia 2014 Prediksi Brasil Vs Kolombia Analisis Dan Line Up
www.solopos.com

Best Baju Kiper Panjang List And Get Free Shipping Lh4c5n7i
sites.google.com

Ujian Semester Genap 2019 2020 Mathematics Quiz Quizizz
quizizz.com

Http Repositori Kemdikbud Go Id 6924 1 Buku 20siswa 20pjok Pdf

Http Repository Unj Ac Id 562 4 6 20bab 20ii Pdf

2

Peraturan Olahraga Indosport
www.indosport.com

Soal Un
id.scribd.com

Distribusi Binomial Rumus Contoh Soal Dan Pembahasan Contoh Soal Uan Kumpulan Soal Dan Pembahasan Uan
azakalailunnafisah.blogspot.com

Soal Hots Peluang
www.scribd.com

Burhan Berbagi Soal Dan Pembahasan Un Materi Permutasi Kombinasi Peluang
burhanberbagi.blogspot.com

Peluang Penjaga Gawang Menahan 3x Dari 5x Un Matematika Ipa Sma 2015 Pembahasan No 40 Youtube
www.youtube.com

8 Besar Piala Dunia 2014 Prediksi Brasil Vs Kolombia Analisis Dan Line Up
www.solopos.com

Peluang Un
id.scribd.com

Ujian Semester Genap 2019 2020 Mathematics Quiz Quizizz
quizizz.com

Naskah Asli Un Matematika Sma Ipa 2015
www.slideshare.net

Media Indonesia 27 Juni 2014 By Mediaindonesia Issuu
issuu.com

5 Teknik Dasar Sepak Bola Untuk Pemula Wajib Tahu
sport.detik.com

Page 222 Radar Malang Online
radarmalang.jawapos.com

Pembahasan Soal Un Peluang Smatika
smatika.blogspot.com

close